• Home
  • Chemistry
  • Astronomy
  • Energy
  • Nature
  • Biology
  • Physics
  • Electronics
  • Discovering Chiral α‑Pinene in the Amazon Rainforest
    Discovering Chiral α‑Pinene in the Amazon Rainforest

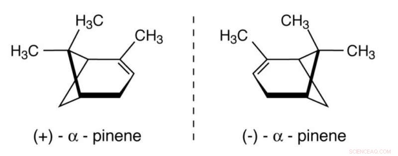
    The two chiral forms of α-pinene. Credit: Max Planck Institute for Chemistry

    Forests such as the Amazon rainforest emit huge amounts of biogenic volatile organic compounds (BVOC) into the atmosphere. These compounds impact the physical and chemical properties of the atmosphere and also our climate. The molecules react rapidly with ambient OH radicals and ozone, thereby influencing the oxidation capacity of the atmosphere for pollutants such as carbon monoxide and greenhouse gases such as methane. Furthermore, BVOC are precursors to secondary organic aerosols, which affect the Earth's radiative budget.

    Many BVOCs such as α-pinene are chiral. This means that they exist in two non-superimposable mirror image forms just like our left and right hands. Scientists speak of enantiomers, or plus and minus forms. However, all physical properties such as their boiling point, mass and their reaction rate with atmospheric oxidizing agents like OH and ozone are identical.

    Despite the chemical similarity of these chiral pairs, insects and plants can distinguish enantiomeric forms of pheromones and phytochemicals, although little attention has been paid to the mixing ratio of the two separated forms in forests. Previous measurements reported minus α-pinene to be the dominant chiral molecule of the tropical forest. Scientists from the Max Planck Institute for Chemistry, the Johannes Gutenberg-University Mainz and from Brazil have now made a surprising discovery: from the 325-meter-high measuring tower in the Amazon rainforest, they were able to show that the ratio of the α-pinene enantiomers varies in the vertical by a factor of ten. The team around the Max Planck researcher Nora Zannoni was also able to demonstrate that the concentrations are altitude-dependent and vary with the time of day and in both wet and dry seasons.

    While plus-α-pinene dominates at 40 meters anytime and at 80 meters during the night, the minus form predominates at 80 meters during the day and at all other higher heights anytime. The team also observed that the minus α-pinene concentration depends on temperature at 80 meters while plus α-pinene does not. "The photosynthetic activity of the vegetation depends on temperature and stomatal opening. It thus drives the emissions of minus α-pinene, demonstrating that leaves are the main source of emission of this isomer, and that the two isomers are released from leaves through different pathways," says Zannoni, who is first author of a study recently published in the science magazine Communications Earth & Environment.

    Discovering Chiral α‑Pinene in the Amazon Rainforest

    Recently, scientists discovered a reversed ratio of the two chiral forms of alpha-pinene in the Amazon rainforest. Nora Zannoni and her colleagues consider nests of termites as a possible emission source. Credit: Nora Zannoni, MPI for Chemistry

    Termites as unknown source of plus α-pinene in the canopy?

    During the dry season, the chiral ratio of the two forms reverses at 80 meters. "This indicates a strong, uncharacterized source of plus α-pinene in the canopy," says Jonathan Williams, group leader at the institute in Mainz and last author of the study. Since the researchers could rule out atmospheric sinks such as the chiral-selective degradation of pinene by OH radicals and ozone or deposition onto aerosols as well as the influence of wind direction and sunlight, they instead suspect that insect stresses such as herbivores feeding and termites emissions are responsible for the plus α-pinene higher values. In order to test a possible impact of insects the researchers conducted additional measurements above termite nests which confirmed that such emissions can overturn the ambient chiral ratio of α-pinene. As termite populations are expected to increase significantly in the future with continued deforestation and climate warming, their influence needs to be considered in forest emission models and forest signaling.

    "We also know that plants can release large amounts of plus α-pinene when injured or eaten," Williams adds. This is supported by measurements of volatile compounds associated with leaf wounding that even revealed when the herbivores were most active. The atmospheric chemists Zannoni and Williams conclude that they need to rethink how canopy emissions of volatile organic compounds are simulated, and take the whole ecosystem into account.


    Science Discoveries © www.scienceaq.com