• Home
  • Chemistry
  • Astronomy
  • Energy
  • Nature
  • Biology
  • Physics
  • Electronics
  • IQ and Horse Racing Betting: A Behavioral Study
    IQ and Horse Racing Betting: A Behavioral Study

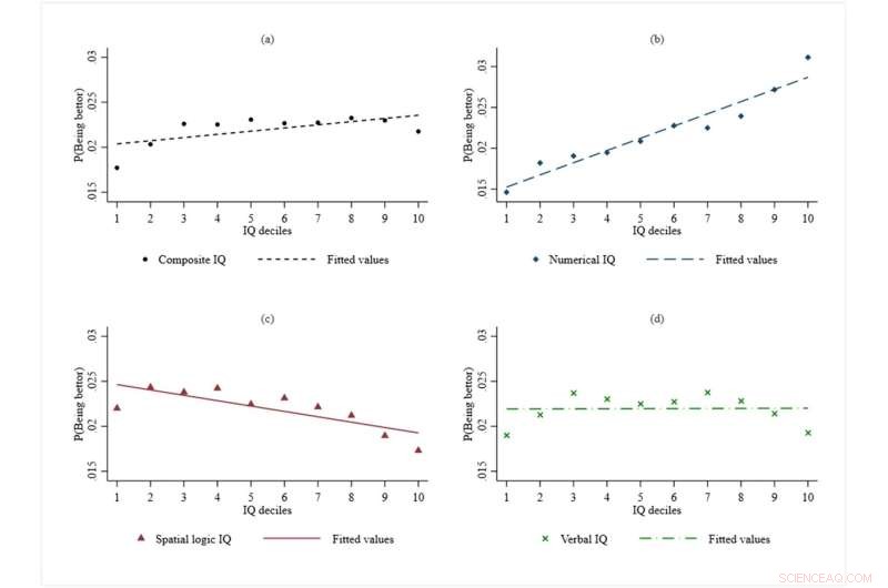
    IQ and betting participation. Credit: Journal of Behavioral Decision Making (2022). DOI: 10.1002/bdm.2300

    The higher a man's IQ, the more likely he is to bet on horse racing, according to new research from academics at the University of Eastern Finland and the University of Liverpool.

    In a study published in the Journal of Behavioral Decision Making found that men with higher numerical IQs were more likely to engage with skill-based gambling, such as horse racing, choose more complex betting products and spend more money.

    The study involved more than 15,000 Finnish men who had completed an IQ test as part of their compulsory military service when joining the Finnish Defence Forces. This was cross-referenced with extensive records of the men's online gambling behavior and data on their socioeconomic status, income and education from Statistics Finland.

    The data did not include women as only men in Finland are required by law to complete military service and take an IQ test.

    Commenting on the findings, Professor David Forrest from the University of Liverpool Management School said, "Our research found a strong correlation between men with a high IQ and those who take part in skilled gambling, such as betting on horse racing.

    "It is important to note that our findings can't necessarily be generalized to chance-based gambling, such as gaming machines. However, there is very little previous research on the association between intelligence and skills-based gambling and so finding such a strong link is significant."

    Science Discoveries © www.scienceaq.com