• Home
  • Chemistry
  • Astronomy
  • Energy
  • Nature
  • Biology
  • Physics
  • Electronics
  • New Study Reveals Unexpected Coherence Decay in Dissipative Many-Body Quantum Systems
    New Study Reveals Unexpected Coherence Decay in Dissipative Many-Body Quantum Systems

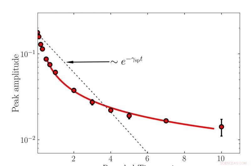
    Top row: several images showing the atomic momentum distribution for several evolution times. Initially, the atoms form a Bose-Einstein condensate (BEC). When trapped by an optical lattice, the BEC momentum distribution displays a Bragg-like interference pattern showing spatially extended phase coherence. Spontaneous emission progressively destroys phase coherence, and the momentum distribution evolves towards a broad distribution without any Bragg features. The main panel shows that this decay occurs as a power law (solid line) for an interacting system. This contrast with the familiar exponential decay expected for independent atoms, shown as dashed line. Here γsp= 500 s-1 is the rate of spontaneous emission induced by the excitation laser. Credit: Bouganne et al.

    In quantum physics, some of the most interesting effects are the result of interferences. Decoherence, or loss of coherence, occurs when a quantum system eventually loses the ability to produce interferences, due to external noise or coupling to a larger and unmonitored system (i.e. the surrounding environment).

    While many studies have investigated decoherence in simple and well-isolated systems, such as single atoms or ions, so far very little is known about decoherence in many-body systems. Many body-systems are systems made up of many interacting particles, in which interparticle correlations and interactions can drastically alter the dissipative dynamics.

    A team of researchers at Collège de France and Laboratoire Kastler Brossel (a joint research unit between CNRS and the ENS-Paris Sciences et Lettres and Sorbonne Université) in France has recently set out to investigate the decoherence of a dissipative many-body system, specifically a gas made up of strongly interacting bosons. Their study, featured in Nature Physics, fits in a more general line of research that focuses on decoherence in quantum systems.

    Past studies suggest that there is a deep connection between decoherence and the measurement processes usually employed in quantum mechanics. The researchers based their study on this important finding and tried to use it to gather observations about decoherence in many-body systems.

    "While the decoherence phenomenon is well known for simple quantum systems, like one atom or ion, the study of many-body systems containing very large number of particles has barely begun," Gerbier said. "Partly, this is due to the difficulty of modeling the non-equilibrium behavior of many-body systems, a field that has progressed only recently. Our work was motivated by the theory developed by D. Poletti and co-authors in the group of Corinna Kollath and Antoine Georges."

    While conducting their study, Gerbier and his colleagues had several in-depth discussions with Kollath and Georges about their theory, which thus played an important part in their work. In their experiments, Gerbier and his colleagues placed a gas made up of many strongly interacting bosons in an optical lattice that was exposed to a weak near-resonant laser beam. The quantum gas they used was made up of bosonic Ytterbium atoms.

    The laser they used continuously promotes atoms from the electronic ground state to an excited state, from which they fall back to the ground state by emitting a spontaneous photon. This particular setup corresponds to a weak and experimentally tunable measurement of the positions of the atoms.

    "Spontaneous emission is a textbook mechanic for decoherence," Gerbier explained. "It turns a coherence Rabi oscillation into exponential decay and also destroys the spatial phase coherence between different points that exist in a macroscopic matter wave such as the Bose-Einstein condensates realized in our experiments."

    Interestingly, Gerbier and his colleagues observed an anomalous subdiffusion in momentum space, which ultimately reflects the emergence of slowly relaxing many-body states in the gas. These states are similar to the subradiant states of many excited emitters.

    Essentially, the researchers found that decoherence is slower for a strongly interacting many-body system than it is for a collection of independent single particles. Instead of the standard exponential decay found in single particles, they observed an algebraic (i.e. power law) decay and short-range coherence that persists for longer than it would if the atoms were not interacting.

    This finding could have important implications for the study of open many-body systems, offering a benchmark for future investigations. Similar power-law behaviors have been noted in theoretical studies of different many-body systems, such as spin chains in fluctuating magnetic field or the influence of dipole-dipole interactions on optical clocks, but they have not yet been observed experimentally.

    "We now plan to study further how relaxation and decoherence affect the properties of many-body quantum systems, using the flexibility of ultracold atoms to do so (varying the geometry, dimensionality, the decoherence mechanisms, etc..)," Gerbier said.

    © 2019 Science X Network

    Science Discoveries © www.scienceaq.com