• Home
  • Chemistry
  • Astronomy
  • Energy
  • Nature
  • Biology
  • Physics
  • Electronics
  • New Study Illuminates the Intricate Nature of Symbiotic Star EF Aquilae
    New Study Illuminates the Intricate Nature of Symbiotic Star EF Aquilae

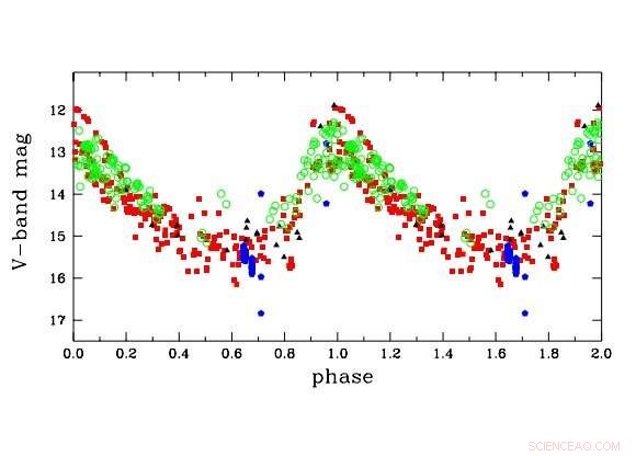
    The V-band photometric observations of EF Aql folded with the period of the pulsations. Credit: Stoyanov et al., 2020.

    An international team of astronomers has conducted high-resolution optical spectroscopy and X-ray observations of the symbiotic star EF Aquilae. Results of these observations have untangled the nature of this object. The new findings are reported in a paper published May 7 on arXiv.org.

    Astronomers assume that symbiotic binaries showcase dramatic, episodic changes in the spectra of their light because one of the pair is a very hot, small star, while the other is a cool giant. In general, such systems are essential for researchers studying aspects of stellar evolution.

    Astronomers divide symbiotic stars (SySt) into two main classes: S-type and D-type. Most known SySts are of S-type, which have near-infrared spectra generally dominated by the cool star's photosphere, and are indistinguishable from ordinary late-type giants. D-type symbiotic stars exhibit additional emission attributed to thick circumstellar dust shells. SySts of this class experience large amplitude variations due to the presence of Mira variables (red giants with pulsation periods longer than 100 days, and amplitudes greater than one magnitude in infrared and 2.5 magnitude at visual wavelengths) and other long-period variable stars.

    Located some 11,000 light years away, EF Aquilae (EF Aql for short) is a D-type SySt with a Mira variable. Although EF Aql was identified as a variable star in 1925, it was confirmed as a SySt in 2016. However, this star has not been thoroughly studied yet, and its nature is still not fully understood.

    So astronomers led by Kiril Stoyanov of the Institute of Astronomy and National Astronomical Observatory in Sofia, Bulgaria, investigated EF Aql in detail. By analyzing data mainly from the Southern African Large Telescope (SALT), the Rozhen National Astronomical Observatory, and from NASA's Neil Gehrels Swift observatory, they gained more insights into the properties of this system.

    "We obtained high-resolution optical spectroscopy and X-ray observations of the D-type symbiotic star EF Aql," the astronomers wrote in the paper.

    The study found that the hot component of EF Aql has a temperature of about 55,000 K and luminosity of some 5.3 solar luminosities. The period of EF Aql was measured to be 320.4 days, which is the period of pulsations of the Mira-type donor star in the system. The distance to the binary was estimated to be 10,100 light years; therefore, the object turns out to be closer to Earth than previously thought.

    According to the paper, EF Aql is one of the faintest X-ray systems so far detected. The astronomers noted that Swift observations did not detect the binary in X-rays, but the system was identified in ultraviolet using the spacecraft's UltraViolet and optical Telescope (UVOT).

    The mass-loss rate of the Mira donor in EF Aql was calculated to be 0.00000025 solar masses per year, which is consistent with values obtained for other Miras in symbiotic systems. This, together with other results from the study, allowed the authors of the paper conclude that EF Aql is an accretion-powered symbiotic star without shell burning.

    © 2020 Science X Network




    Science Discoveries © www.scienceaq.com