• Home
  • Chemistry
  • Astronomy
  • Energy
  • Nature
  • Biology
  • Physics
  • Electronics
  • Unified Framework Links Science, Math & Stochastic Processes | Research Highlights

    Unified Framework Links Science, Math & Stochastic Processes | Research Highlights
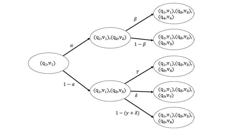
    From the paper "A Stochastic Model of Mathematics and Science." Credit: Kinney & Wolpert, 2024

    Will a certain tritium atom decay by a certain time? According to our current science, this question concerning physical phenomena should be answered by sampling from a probability distribution, a process not unlike spinning a roulette wheel or rolling dice. However, a paper in Foundations of Physics suggests that the same could be true of a question concerning mathematical phenomena, even one as prosaic as "what is 2+2?"

    SFI Professor David Wolpert, a physicist, and former SFI Omidyar Fellow David Kinney, a philosopher and cognitive scientist, propose a unified, probabilistic framework to describe math, the physical universe, and even describe how humans reason about both.

    In their framework, mathematics and science are both represented as a process of asking and answering questions. How a given mathematician or scientist answers a question will depend on the probabilities that they assign to different answers. In an extension of the basic formalism, these same probabilities also determine how correctly that mathematician or scientist answers those questions.

    To illustrate, say you answer a mathematics question now, and in the faraway future, some mathematicians answer the same question. The correctness of your answer depends on how your probabilities match theirs. (In physics, your correctness would involve physical experiments, not future physicists.)

    Randomness pervades every part of the question-answer process, from question selection to the answer given. This results in an important benefit of the proposed framework: a novel, formal justification for two common-sense shortcuts in science and math—believing more strongly in ideas supported by multiple lines of evidence, and believing more strongly in ideas that best explain something you already believe.

    More information: David H. Wolpert et al, A Stochastic Model of Mathematics and Science, Foundations of Physics (2024). DOI: 10.1007/s10701-024-00755-9

    Provided by Santa Fe Institute




    Science Discoveries © www.scienceaq.com