• Home
  • Chemistry
  • Astronomy
  • Energy
  • Nature
  • Biology
  • Physics
  • Electronics
  • Project Scheduling: A Mathematical Approach to Duration & Risk
    Project Scheduling: A Mathematical Approach to Duration & Risk
    A toy project with three independent activities A,B and C. The longest activity (A) sets the project duration. Credit: A. Vazquez , EPJ

    Complex projects are made up of many activities, the duration of which vary according to a power law; this model can be used to predict overall project duration and delay.

    We have all been frustrated when a project is delayed because one sub-task cannot begin before another ends. It is less well known that the process of scheduling projects efficiently can be described in mathematical terms.

    Now, Alexei Vazquez, of technology company Nodes & Links and based in Cambridge, U.K., has shown that the distribution of activity lengths in a project follows the mathematical relationship of power law scaling. He has published his findings in The European Physical Journal B.

    Any relationship in which one quantity varies as a power of another (such as squared or cubed) is known as a power law. These can be applied to a wide range of physical (e.g., cloud sizes or solar flares), biological (e.g. species frequencies in a habitat) and man-made (e.g. income distribution) phenomena.

    In Vazquez' analysis of projects, the quantities that depend on power laws were the duration of each of the activities that make up the project and the slack times between each activity, or "floats."

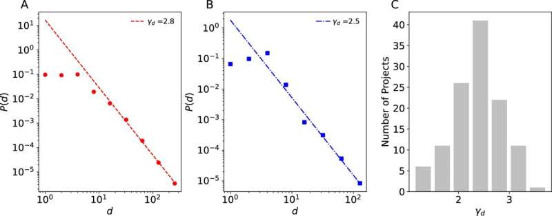
    Vazquez analyzed data on 118 construction projects, together comprising more than 1,000 activities, that was stored in a database belonging to his company. The activity durations in a given project fitted a power law with a negative exponent (i.e., there were more short-duration activities, and a "tail" of small numbers of longer ones); the value of the exponent varied from project to project. The distribution of float times for the activities in a project can be expressed in a similar but independent power law.

    He explained that these power law scalings arise from different processes: in the case of the activities, from a historical process in which a generic activity fragments over time into a number of more specialized ones. Furthermore, he showed that estimation of delays associated with a whole project depends on the power law scaling of the activities but not of the floats. This analysis has the potential to forecast delays in planned projects accurately, minimizing the annoyance caused by those long waits.

    More information: Alexei Vazquez, Emerge of scaling in project schedules, The European Physical Journal B (2024). DOI: 10.1140/epjb/s10051-024-00676-6

    Journal information: European Physical Journal B

    Provided by SciencePOD




    Science Discoveries © www.scienceaq.com