• Home
  • Chemistry
  • Astronomy
  • Energy
  • Nature
  • Biology
  • Physics
  • Electronics
  • Boosting Public Engagement with Refugees: A Case Study
    Boosting Public Engagement with Refugees: A Case Study

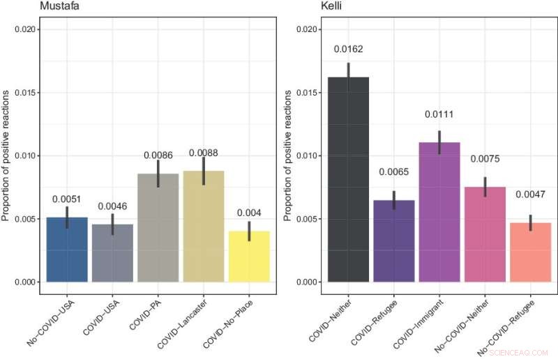
    Positive reactions to ads. Positive reactions are defined by “like,” “love,” and “care” Facebook reactions (under Facebook settings, each user is constrained to one possible reaction). Mustafa ads are presented on the left side panel and Kelli ads on the right side panel. Credit: Journal of Experimental Political Science (2021). DOI: 10.1017/XPS.2021.11

    COVID-19 can be more perilous for some people than others. The higher risk is caused not only by more possibilities to contract the virus, but also by negative public opinion toward those blamed unfairly for spreading sickness. This is the case for refugees, which spurred "Refugees to the Rescue? Motivating Pro-Refugee Public Engagement During the COVID-19 Pandemic," an article written among others by Scott Williamson, Assistant Professor in the Department of Social and Political Science at Bocconi University, and published online by the Journal of Experimental Political Science.

    The authors partnered with the NGOs Refugees International and Refugee Council U.S. to study how different messages could encourage Americans to engage with Facebook advertisements promoting refugees and their efforts to help fight the COVID-19 pandemic. Users viewing the ads could click on them to show support for refugees or they could record a positive reaction by "liking" or "loving" the ads, according to Williamson, who conducted the study in the United States in August 2020.

    To have more engagement, the study suggests that refugee advocacy organizations can promote stories about refugees helping the host society in the local community where the ad campaign's viewers live or consume digital contents. So, "it could be better planning locally targeted advertising," Williamson outlines, that tries "to bridge the gap between host communities and the refugees living next door."

    Finally, NGOs don't need to shy away from using the terms refugee or immigrant: the research confirmed that mentioning in an ad campaign these words (without distinction) has more positive feedback than one not using them.

    In a pandemic, "the anxiety and economic disruption may reduce willingness to contribute time or money to advocacy groups," Williamson says. "But a crisis can be an opportunity for advocacy organizations, because they may benefit from drawing attention to the immigrant or refugee backgrounds of people fighting the pandemic." However, there is also a concern that "these narratives of refugees as heroes may also create or sharpen the distinction between refugees with the capabilities to contribute and those who may not have such capabilities." This could be problematic if it undermines "a broad commitment to the original purpose of the UN Refugee Convention to support refugees regardless of their ability and their status."

    Science Discoveries © www.scienceaq.com