• Home
  • Chemistry
  • Astronomy
  • Energy
  • Nature
  • Biology
  • Physics
  • Electronics
  • Finnish Basic Income Experiment Shows No Immediate Employment Gains
    Finnish Basic Income Experiment Shows No Immediate Employment Gains

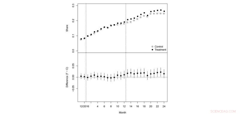
    Employment in the analysis groups. The upper panel shows the share of persons with days in employment. The lower panel presents the difference between the treatment and control groups (vertical bars denote the 95% CI). Credit: Removing Welfare Traps: Employment Responses in the Finnish Basic Income Experiment VATT Working Papers 142, http://urn.fi/URN:ISBN:978-952-274-275-9

    Finland carried out the first nationwide randomized experiment on basic income. A study by the VATT Institute for Economic Research and the Labour Institute for Economic Research shows that replacing minimum unemployment benefits with a basic income of equal size has minor employment effects at best. Additionally, participation in reemployment services remained high.

    Finnish Experiment Basic Income

    Universal basic income models have generated a large interest in many countries. Finland carried out the first nationwide randomized experiment on basic income Finland in 2017–2018. The participation in the experiment was mandatory and randomized.

    The experiment included 2,000 persons whose minimum unemployment benefit was replaced by a monthly basic income of €560 ($631) that improved employment incentives considerably. The effective marginal tax rates of the treatment group decreased from 66% to 43% at a monthly wage level of €2,000 ($2,255).

    A novel feature of the experiment for a Nordic welfare state was that the treatment group received basic income payments regardless of their labor market status or job search efforts. Basically, it removed all obligations for job search set by the public employment services.

    The experiment had minor employment effects at best.

    The Finnish experiment failed to produce any sizable short-term employment effects despite offering larger improvements in employment incentives than any realistic nationwide policy could provide. This was shown in the study "Removing Welfare Traps: Employment Responses in the Finnish Basic Income Experiment" by Jouko Verho and Kari Hämäläinen (VATT Institute for Economic Research), and Ohto Kanninen (Labour Institute for Economic Research).

    Despite the considerable increase in work incentives, days in employment remained statistically unchanged in the first year of the experiment. Moreover, even though all job search requirements were waived, participation in reemployment services remained high.

    The study concludes that that improving monetary incentives for employment can be an ineffective policy tool for some groups of unemployed, especially if the increase in incentives peaks at relatively high wage levels.

    Fact box

    The experiment explored how the bundle of a new social benefits, reduced administrative barriers, and lower marginal tax rates affected employment. The study compares the randomized treatment group to the control group using detailed administrative data. The point estimate for the first-year treatment effect is 1.5 days (95% CI -2.3-5.4), which can be contrasted with the average of 49 days in employment per year in the control group. The upper bound for the employment effect in the first year of the Finnish experiment suggests that we can rule out any participation elasticities exceeding 0.16, assuming that the removal of active labor market programs (ALMP) in the treatment group had no negative employment effect. The treatment group spent almost 100 days, on average, in different active labor market programs in 2017.


    Science Discoveries © www.scienceaq.com