• Home
  • Chemistry
  • Astronomy
  • Energy
  • Nature
  • Biology
  • Physics
  • Electronics
  • New Research Connects Classroom Ventilation and Air Quality to Student Academic Success
    New Research Connects Classroom Ventilation and Air Quality to Student Academic Success

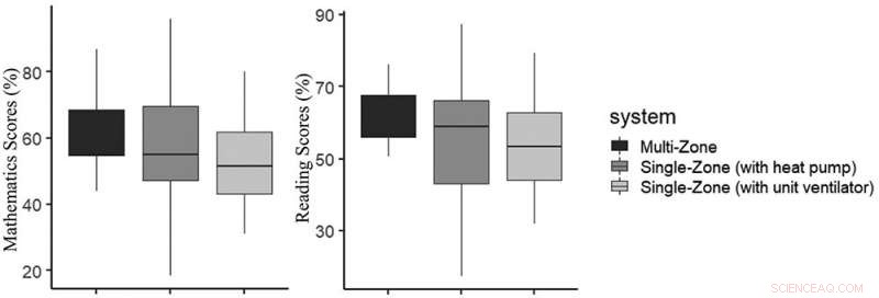
    A chart illustrating the differences in math (left) and reading (right) scores in classrooms with different ventilation systems. Credit: Elsevier / Science of the Total Environment

    Each year, more than 50 million K-12 students spend upward of 1,000 hours in U.S. classrooms. Even before the coronavirus pandemic, research was establishing suggestive links between academic performance and a classroom's air quality, possibly due to the latter affecting students' concentration and illness-related absences.

    But those prior studies examined student performance only relative to carbon dioxide concentrations and the rate at which ventilation removed that CO2 from classrooms.

    Nebraska's Josephine Lau and colleagues decided to investigate other facets of air quality and ventilation, along with their potential effects on student achievement. Over a two-year span, the team surveyed and analyzed 216 classrooms from 39 schools in the Midwest. The study revealed links between the type of ventilation system installed at a school and its students' performance on year-end math and reading tests.

    Even when controlling for other variables, students in classrooms with a single-zone unit ventilator—which is attached to an external wall and draws in outdoor air directly from the device—generally performed worse in math and reading when compared to schools with centralized systems that serve multiple classrooms.

    Other recent research has suggested that the latter, multi-zone systems provide more outdoor air, remove larger proportions of particulates, and run quieter than their single-zone counterparts. And the team did find that faster ventilation, in particular, corresponded with higher reading scores.

    The team hopes its findings will spur experimental studies that can discern whether the ventilation-related factors are actually driving the measurable differences in student performance—and how they might be influenced by demographics and seasons.

    School districts should begin considering the results of air-quality research when selecting ventilation and filtration systems for their buildings, the researchers said.


    Science Discoveries © www.scienceaq.com