• Home
  • Chemistry
  • Astronomy
  • Energy
  • Nature
  • Biology
  • Physics
  • Electronics
  • Study Links Higher Temperatures to Increased Violent Crime in Philadelphia
    Study Links Higher Temperatures to Increased Violent Crime in Philadelphia

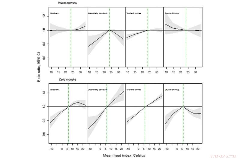
    Relative rates for the relationship between mean daily heat index and select categories of crime in Philadelphia between Jan. 1, 2006 and Dec. 31, 2015. Credit: Drexel University

    Among police officers, there's a maxim: Being a cop gets a whole lot busier when it's hot out. Now, a study by a pair of Drexel University researchers appears to back them up.

    The research, conducted by Leah Schinasi, PhD, assistant research professor, and Ghassan Hamra, PhD, assistant professor, both of Drexel's Dornsife School of Public Health, was published in the Journal of Urban Health and used a decade's worth of crime data in Philadelphia (from 2006 until 2015) to find that rates of violent crime and disorderly conduct increased when daily temperatures are higher.

    Overall, crime rates were highest in the warmest months of the year—May through September—and highest on the hottest days.

    For example, when the heat index (a metric that uses temperature and humidity to represent human comfort) was 98 degrees, rates of violent crime were 9 percent higher compared to days when the temperature was 57 degrees. When it came to rates of disorderly conduct, they were 7 percent higher on 98-degree days than on 57-degree days.

    During the year's colder months—October through April—the contrast of high versus low rates of crime on more comfortable versus cooler temperature days was more striking. When temperatures reached 70 degrees during that time period, daily rates of violent crime were 16 percent higher, on average, and disorderly conduct rates were 23 percent higher, compared to 43 degree days, the median heat index for that period.

    The researchers also looked at deviations of daily temperatures from seasonal averages in trying to determine the effect of anomalies on crime rates. For example, during cool months, days that were 55 degrees warmer than the seasonal average were associated with 7 percent higher rates of disorderly conduct.

    Study Links Higher Temperatures to Increased Violent Crime in Philadelphia

    Relative rates for the relationship between the mean daily heat index and select categories of crime in Philadelphia between Jan. 1, 2006 and Dec. 31, 2015. Credit: Drexel University

    "Our findings are reasonable when you think about social behavior," Schinasi said. "When temperatures are extremely cold or hot, people stay indoors. But as temperatures become more comfortable, more people are outdoors, which presents greater opportunity for crime."

    Following that more pleasant weather results in more crime, it could be assumed that cooler days in hot weather months would result in more crime.

    But that does not seem to be the case, as crime rates remained fairly static during the hotter-weather months when temperatures dip below the seasonal average.

    "I could speculate about the reasons that cooler, more comfortable summer temperatures are not associated with higher rates of crime, but I am honestly not sure," Schinasi said. "Overall, these results still reflect that higher rates of crime occur when temperatures are warmer. Additional analyses that tease apart these effects will help us to better understand these findings and seasonal trends."

    Schinasi suggested additional research into the locations of crime and the particulars of the areas, like infrastructure and neighborhood characteristics, would divulge more insight.

    Regardless, seeing increases in crime during warmer days is particularly concerning when taking climate change into account. Schinasi and Hamra's research is potentially a picture of what could happen if (or when) warmer days become the norm.

    "It is important to recognize the implications of these climate change effects for public health, including changes in crime rates," Schinasi said. "Although these results back up police officers' anecdotal reports about the relationship between temperature and crime, it's nice to have data to confirm these reports. Our results might help inform local law enforcement about ways to allocate resources during different seasons and with consideration of the local climate."


    Science Discoveries © www.scienceaq.com