• Home
  • Chemistry
  • Astronomy
  • Energy
  • Nature
  • Biology
  • Physics
  • Electronics
  • Graphene-Enhanced Transistor Promises Higher Processor Clock Speeds
    Graphene-Enhanced Transistor Promises Higher Processor Clock Speeds

    (A) Electron spectrum E(p) in bilayer graphene (left) and energy dependence of its density of states, DoS (right). At energy levels corresponding to the edge of the "Mexican hat" the DoS tends to infinity.(B) The red areas show the states of electrons that participate in tunneling in bilayer graphene (left) and in a conventional semiconductor with "ordinary" parabolic bands (right). Electrons that are capable of tunneling at low voltages are found in the ring in graphene, but in the semiconductor they are only found at the single point. The dotted lines indicate the tunneling transitions. The red lines indicate the trajectories of the tunneling electrons in the valence band. Credit: Authors of the study

    Scientists have developed a new type of graphene-based transistor and modeling demonstrates that it has ultralow power consumption compared with other similar transistor devices. The findings have been published in a paper in the journal Scientific Reports. The most important effect of reducing power consumption is that it enables increased processor clock speeds—according to calculations, as much as two orders of magnitude higher.

    "The point is not so much about saving electricity—we have plenty of electrical energy. At a lower power, electronic components heat up less, and that means that they are able to operate at a higher clock speed—not one gigahertz, but 10 for example, or even 100," says Dmitry Svintsov, the head of MIPT's Laboratory of Optoelectronics and Two-Dimensional Materials.

    Building transistors that are capable of switching at low voltages (less than 0.5 volts) is one of the greatest challenges of modern electronics. Tunnel transistors are the most promising candidates to solve this problem. Unlike conventional transistors, in which electrons "jump" through the energy barrier, in tunnel transistors, the electrons "filter" through the barrier via the quantum tunneling effect. However, in most semiconductors, the tunneling current is very small, preventing transistors that are based on these materials from being used in real circuits.

    The authors of the article, scientists from the Moscow Institute of Physics and Technology (MIPT), the Institute of Physics and Technology RAS, and Tohoku University (Japan), proposed a new design for a tunnel transistor based on bilayer graphene, and using modelling, they proved that this material is an ideal platform for low-voltage electronics.

    Graphene, which was created by MIPT alumni Sir Andre Geim and Sir Konstantin Novoselov, is a 2D, atomic-scale honeycomb lattice of carbon atoms. As a 2D material, its properties are radically different from 3D graphite.

    Graphene-Enhanced Transistor Promises Higher Processor Clock Speeds

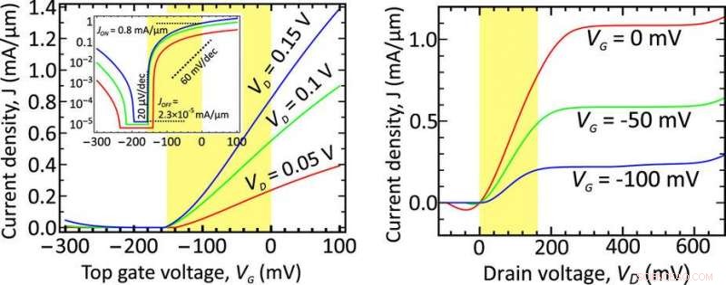
    The shaded area of 150 mV is the operating voltage range of the transistor, which is much narrower than the operating range of conventional silicon transistors (500mV). The subthreshold swing (slope of the characteristic) of the proposed transistor is also significantly higher than the limiting slope that can potentially be gained from MOSFETs (metal-oxide-semiconductor field-effect transistors). This limiting slope is shown as a dotted line on the inset image. Credit: Authors of the study

    "Bilayer graphene is two sheets of graphene attached to one another with ordinary covalent bonds. It is as easy to make as monolayer graphene, but due to the unique structure of its electronic bands, it is a highly promising material for low-voltage tunneling switches," says Svintsov.

    Energy level bands of bilayer graphene take the shape of a "Mexican hat" (fig. 1A). It turns out that the density of electrons that can occupy spaces close to the edges of the "Mexican hat" tends toward infinity—this is called a van Hove singularity. With the application of even a very small voltage to the gate of a transistor, a huge number of electrons at the edges of the "Mexican hat" begin to tunnel at the same time. This causes a sharp change in current from the application of a small voltage, and this low voltage is the reason for the record low power consumption.

    In their paper, the researchers point out that until recently, the van Hove singularity was barely noticeable in bilayer graphene—the edges of the "Mexican hat" were indistinct due to the low quality of the samples. Modern graphene samples on hexagonal boron nitride (hBN) substrates are of much better quality, and pronounced van Hove singularities have been experimentally confirmed in the samples using scanning probe microscopy and infrared absorption spectroscopy.

    An important feature of the proposed transistor is the use of "electrical doping" (the field effect) to create a tunneling p-n junction. The complex process of chemical doping, required when building transistors on 3D semiconductors, is not needed (and can even be damaging) for bilayer graphene. In electrical doping, additional electrons (or holes) occur in graphene due to the attraction toward closely positioned doping gates.

    Under optimum conditions, a graphene transistor can change the current in a circuit 10,000 times with a gate voltage swing of only 150 millivolts.

    "This means that the transistor requires less energy for switching, chips will require less energy, less heat will be generated, less powerful cooling systems will be needed, and clock speeds can be increased without the worry that the excess heat will destroy the chip," says Svintsov.


    Science Discoveries © www.scienceaq.com