• Home
  • Chemistry
  • Astronomy
  • Energy
  • Nature
  • Biology
  • Physics
  • Electronics
  • New Study Uncovers Two Possible Mott-Insulating States in Sr₂IrO₄ via Magnetic Superexchange Analysis
    New Study Uncovers Two Possible Mott-Insulating States in Sr₂IrO₄ via Magnetic Superexchange Analysis

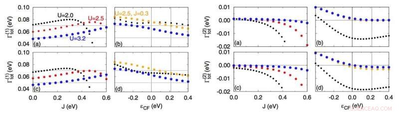
    Total nearest- (left) and next-nearest- (right) neighbor couplings as a function of screened Coulomb interaction integrals crystal-field splitting. Credit: Zhu Damei

    Recently, a research team identified two possible magnetic interaction images in Sr2IrO4, which marked a new progress in the magnetic superexchange coupling study in Sr2IrO4 5d associative system.

    The team was led by Dr. Zhang Guoren from Institute of solid State Physics (ISSP), Hefei Institutes of Physical Science (HFIPS), Chinese Academy of Sciences, in collaboration with researchers from Jülich Research Centre, Germany.

    "We studied the magnetic couplings in Sr2IrO4 in the Mott-insulating picture by combing different theories" said Zhang Guoren, "and identified two possible scenarios of them."

    They studied the magnetic interactions in the strong-to-intermediate coupling regime. The superexchange pseudospin tensors was calculated up to fourth order, and their dependence on the screened Coulomb interaction integrals U and J and crystal-field splitting was analyzed. Due to term cancelations, the experimental nearest-neighbor coupling is reasonably well reproduced for a whole range of realistic values.

    They identified a phenomenon. The increasing Hund's rule coupling J could lead to large fourth-order contributions. That's why the ferromagnetic next-nearest-neighbor coupling extracted from the spin-wave dispersion.

    This regime is characterized by a sizable ring exchange K. For (U,J) values that yield a Mott insulator with a half-filled jeff =1/2 state, but fourth-order terms remain minor even if the gap is small.

    "The electronic properties of Sr2IrO4 and La2CuO4 are similar," said Zhang, "so it can help us to understand the mechanism for superconductivity in doped La2CuO4."

    This work could also shed light on the correct modelization for other systems, such as the bilayer Sr3Ir2O7.

    The relevant findings were published in Physical Review B.


    Science Discoveries © www.scienceaq.com