• Home
  • Chemistry
  • Astronomy
  • Energy
  • Nature
  • Biology
  • Physics
  • Electronics
  • New Study Uncovers Hidden Optical Localized Gap Modes
    New Study Uncovers Hidden Optical Localized Gap Modes

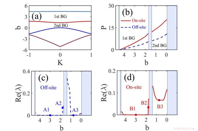
    Band-gap structure and profiles of gap solitons. Credit: XIOPM

    Electromagnetically induced transparency (EIT) is a typical quantum destructive interference effect, which possesses many striking properties such as elimination of optical absorption, reduction of group velocity and remarkable enhancement of Kerr nonlinearity. Due to its rich physical properties and important practical applications, the study of EIT is extremely important. Many works have demonstrated the ways for manipulating light pulses via dynamically controlled EIT-induced photonic band gap in coherently prepared atomic gases.

    Although various effects including solitons have been widely studied in multilevel atomic systems with electromagnetically induced lattices formed by EIT in recent years, the gap solitons are still missing. Are there any methods to reveal this phenomenon?

    A research team led by Prof. Dr. Zeng Jianhua from the Xi'an Institute of Optics and Precision Mechanics (XIOPM) of the Chinese Academy of Sciences (CAS) theoretically investigate one-dimensional (1D) localized gap modes in a coherent atomic gas. The results were published in Optics Express.

    In this research, the new platform to generate localized gap modes is a 1D coherent atomic system consisting of a Λ-type three-level atomic gases that are excited under EIT condition and trapped by an optical lattice formed by a pair of counterpropagating far-detuned Stark laser fields.

    The model supports two types of localized gap modes, fundamental gap solitons and dipole ones. Both localized gap modes can be constructed as on-site and off-site modes, with their central profiles placing respectively into the maximum and minimum values of the optical lattice.

    The systematic simulations based on linear-stability analysis and the direct perturbed simulations demonstrate the (in)stability regions of both localized gap modes in the respective linear band-gap spectrum.

    The proposed physical scheme and the predicted gap modes therein can enlarge the nonlinear spectrum of coherent atomic gases and open up a new avenue for implications including optical communication and information processing.


    Science Discoveries © www.scienceaq.com