• Home
  • Chemistry
  • Astronomy
  • Energy
  • Nature
  • Biology
  • Physics
  • Electronics
  • 2D Superconductivity and Anisotropic Transport in Potassium Tantalate (KTaO₃) Interfaces
    2D Superconductivity and Anisotropic Transport in Potassium Tantalate (KTaO₃) Interfaces

    Schematics of KTO (111) surface, XANES and STEM characterizations. (A) KTaO3 lattice structure. The relative sizes of the ions are chosen to emphasize the Ta atoms. The three adjacent (111) planes containing Ta5+ ions are colored in light purple, blue and green, respectively. (B) Distribution of Ta5+ ions viewed along the [111] crystal axis. Ta5+ ions are shown with progressively smaller sizes in the three adjacent (111) planes, which are labeled as Ta – I, Ta – II and Ta – III, respectively. Solid lines between Ta5+ ions indicate the relative distance or coupling strength – with thicker lines representing stronger couplings, giving rise to a buckled honeycomb lattice for the first bilayer comprising Ta - I and Ta - II sites. (C) XANES data from sample EuO/KTO(111)_4 at the Ta Ledge. The KTO near the surface is only slightly reduced, with Ta valence close to its bulk value (5+). XANES data for pure Ta is also shown for comparison. STEM images of the (D) EuO/KTO (111) and (E) LAO/KTO (111) interfaces, looking down the [110] direction. Green box indicates the region near the interface. Credit: Science, doi: 10.1126/science.aba5511

    Unique electronic structures found at materials interfaces can allow unconventional quantum states to emerge. In a new report on Science, Changjiang Liu and a research team at the Argonne National Laboratory, University of Illinois and the Chinese Academy of Sciences detailed the discovery of superconductivity in electron gases formed at the interfaces between potassium tantalate (KTaO3) and insulating overlayers of either Europium-II oxide (EUO) or lanthanum aluminate (LaAlO3). The superconducting transition temperature approaching 2.2 K observed in this work was an order of magnitude higher than previous systems of lanthanum aluminate/strontium titanate. The critical field and current-voltage measurements indicated the two-dimensional (2-D) character of superconductivity. The team noted a spontaneous in-plane transport anisotropy in the EUO/ KTaO3 samples prior to the onset of superconductivity to suggest the emergence of a distinct 'stripe' like phase near the critical field.

    Superconductivity in 2-D

    Liu et al. described 2-D superconductivity in electron gases formed at oxide-insulator/potassium tantalate oxide interfaces. Superconductivity in two-dimensions is a central theme in condensed matter physics and materials science. In 2-D surfaces, the electron-electron and electron-lattice interactions that mediate pairing can give rise to states that compete with superconductivity. As a result, only a small fraction of 2-D electron gas (2-DEG) and ultrathin metallic films are superconducting. Researchers had previously conducted most of the foundational work in 2-D superconductivity using amorphous thin films to gather deep insights to the nature of classical and quantum phase transitions. The 2-D superconductivity can be realized in crystalline materials and interfaces between crystalline materials to allow scientists to realize and break symmetries to tailor electronic structures in ways hitherto impossible in amorphous and disordered thin films. For instance, in a 2-D superconductor with strong spin-orbit coupling and broken inversion symmetry, a Rashba interaction can lead to a candidate platform to realize Majorana modes. Three of the most prominent examples of 2-D superconductors at crystalline interfaces involve transition metal oxides with strong electron-electron and electron-lattice interactions to mediate superconducting pairing.

    2D Superconductivity and Anisotropic Transport in Potassium Tantalate (KTaO₃) Interfaces

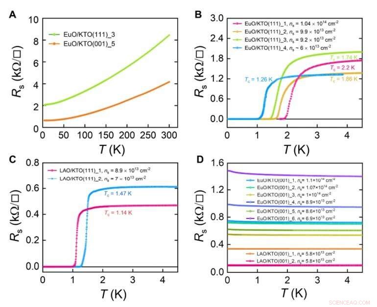
    Transport measurements of 2DEGs formed at different KTO interfaces. (A) Metallic temperature dependence of the sheet resistance of EuO/KTO (111) and (001) samples measured from 300 K to 4 K. (B) Measurement at lower temperatures shows superconducting transitions in EuO/KTO (111) samples (current along [11 2 ]) with varying carrier densities, which are determined from Hall measurement at T =10 K for samples EuO/KTO(111)_1, 2 and 3. The carrier density in EuO/KTO(111)_4 is estimated from growth condition. (C) Similar measurements on LAO/KTO (111) samples also show superconductivity. (D) No superconductivity is observed in samples with (001) oriented KTO interfaces with overlayers of either EuO or LAO down to 25 mK. The range of the carrier density is similar to those of the (111) oriented samples shown in (B) and (C). Credit: Science, doi: 10.1126/science.aba5511

    Observing 2-D superconductivity with potassium tantalate.

    Potassium tantalate (KTaO3 or KTO) is an insulator with a cubic perovskite structure and a dielectric constant that exceeds 4500 upon cooling to low temperatures. The KTO material is a 'quantum paraelectric' substrate due to quantum fluctuations at low temperatures during ferroelectric transition. Researchers can use ionic liquid gating to tune the KTO surface into a weak superconducting state. To realize 2-D electron gas (2-DEG) at the KTO interfaces, they introduced vacuum cleaving, followed by exposure to UV or synchrotron radiation. Using angle-resolved photoemission spectroscopy (ARPES) studies on the KTO surface, Liu et al. found a distinct Fermi surface with a six-fold symmetry derived from the lattice architecture. They measured a transition temperature as high as 2.2 K, which they tuned by varying carrier density during sample growth. They also noted an emergent stripe-phase which broke the rotational symmetry in the KTO surface.

    2D Superconductivity and Anisotropic Transport in Potassium Tantalate (KTaO₃) Interfaces

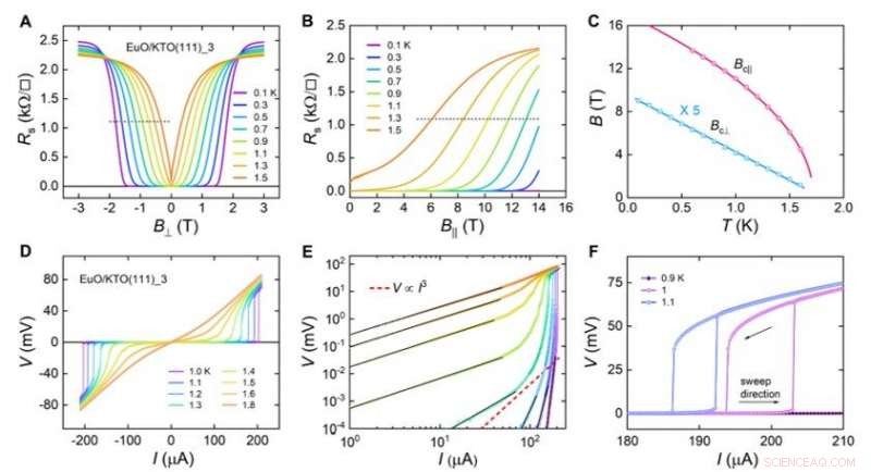
    Critical field and current-voltage measurements on sample EuO/KTO(111)_3. (A,B) Sheet resistance measured at different temperatures as a function of the out-of-plane and in-plane magnetic fields, respectively. (C) Temperature dependence of critical fields, which are determined at half of RN (dotted horizontal line in (A) and (B)). (D) I-V curves measured at different temperatures. (E) I-V curves plotted on a logarithmic scale using same color codes as in (D). Black solid lines are linear fits to the data. Red dashed line is V ∝ I3, which is used to infer the BKT transition temperature. (F) Hysteresis of I-V curves near the critical current measured at temperatures below Tc0. In all the measurements (A)-(F), the current is applied along [112 ] direction. Credit: Science, doi: 10.1126/science.aba5511

    The experiment

    The team next prepared the 2-D electron gas (2-DEG) on potassium tantalate (KTO) by growing a layer of europium oxide (EUO) via molecular beam epitaxy or lanthanum aluminate (LAO) using pulsed laser deposition, which they confirmed using X-ray diffraction measurements. Using aberration-corrected high-resolution transmission electron microscopy and scanning transmission electron microscopy, they detected oxygen vacancies near the EUO/KTO interface. When they lowered the temperature, the interface displayed superconductivity. Liu et al. grew the samples at different temperatures and oxygen pressures to obtain different carrier densities and mobilities. They noted the observed crystallographic orientation dependent interfacial 2-D superconductivity at the KTO interface to be in sharp contrast with the 2-DEGs observed at strontium titanate (STO) interfaces, where superconductivity occurred for all orientations.

    Current-voltage behavior and Van der Pauw geometry

    The superconductivity in the EUO/KTO sample also showed a robust critical-current behavior. As the team raised the temperature close to the transition temperature, they noted a gradual onset of a resistive state at low currents. They interpreted the evolution of superconductivity in a 2-D superconductor relative to a Berezinskii–Kosterlitz–Thouless (BKT) transition. Accordingly, current driven unbinding of vortex anti-vortex pairs created by thermal fluctuations at finite temperatures caused the onset of a non-linear current-voltage (I-V) in the superconducting state. The results further suggested 2-D superconductivity to be inhomogeneous (diverse), where weak links joined the superconducting regions.

    2D Superconductivity and Anisotropic Transport in Potassium Tantalate (KTaO₃) Interfaces

    Stripe phase measured in different EuO/KTO(111) samples. (A) Sheet resistance of sample EuO/KTO(111)_5 measured with electric current along [110] (red) and [11 2 ] (blue) crystal axes under zero field. The light blue and green region indicate superconducting (SC) and ‘stripe’ state, respectively. (B) Illustration of the measurement geometry for the case of current (red arrow) along [110] direction perpendicular to the stripes. These stripes may be composed of Cooper pairs, which are shown in light blue bubbles. (C)-(F) Magnetic field dependence of the sheet resistance measured along both current directions at T = 0.1 K in samples with decreasing mobilities. Stripe phase is revealed in all samples around the critical field (green region). Note that EuO/KTO(111)_2 has a higher Tc than EuO/KTO(111)_3, but also shows a more prominent transport anisotropy. Credit: Science, doi: 10.1126/science.aba5511

    The team then noted the appearance of a distinct phase near the superconducting state in low carrier density EUO/KTO samples and conducted measurements of resistance in a van der Pauw geometry; i.e., a simple analytical technique to determine electrical resistivity and sheet resistance. When they decreased the temperature below 2.2 K, the resistance increased by almost 50 percent for current along the crystal axis, while it decreased by 50 percent for current flowing in a different crystallographic direction. The van der Pauw method amplified the transport anisotropy in high-mobility 2-DEGs suggesting the emergence of a distinct phase that broke rotational symmetry across macroscopic length scales, which persisted across a broad temperature range from 2.2 K down to about 0.7 K. At even lower temperatures, the resistance in crystallographic directions reduced rapidly to zero to obtain a superconducting state.

    Characteristics of 2-D superconductivity

    After lowering the temperature in the setup, Liu et al. noted increased resistance due to superconducting puddles that inhibited transport between weakly coupled superconducting regions. They restored global superconductivity at lower temperatures via Josephson coupling between these regions. The results indicated the underlying superconductivity to be anisotropic, allowing the superconducting regions to organize themselves into stripes with coherent alignment across macroscopic length scales. The magnetic field dependence of sheet resistance provided further evidence for an anisotropic stripe like phase. As the magnetic field increased, Liu et al. observed a sharp increase in resistance that suppressed global superconductivity along both directions of current. In this way, as the scientists suppressed the global superconductivity using temperature or magnetic fields, the transport measurements revealed a stripe phase to produce large anisotropic transport oriented along similar crystal axes in KTO and STO (potassium tantalate and strontium titanate) interfaces. The research team propose to conduct further experiments, including those that probe the spatial structure of superconductivity to understand the nature of the observed superconductivity and resistance anisotropy.

    © 2021 Science X Network




    Science Discoveries © www.scienceaq.com