• Home
  • Chemistry
  • Astronomy
  • Energy
  • Nature
  • Biology
  • Physics
  • Electronics
  • Quantum Computation Reveals Previously Unknown Vibrational States of Magnesium Dimer
    Quantum Computation Reveals Previously Unknown Vibrational States of Magnesium Dimer

    The wave functions of the high-lying, purely vibrational, states of 24Mg2 and the underlying X1Σ+g (ground) potential. The last experimentally observed v″ = 13 level is marked in blue, the predicted v″ = 14 to 18 levels are marked in green, and the ab initio X1Σ+g (ground) PEC obtained in this study is marked by a long-dashed black line. The inset is a Birge-Sponer plot comparing the rotationless G(v″ + 1) − G(v″) energy differences as functions of v″ + ½ obtained in this work (black circles) with their experimentally derived counterparts (red open squares) based on the data reported in previous work for (v″ = 0 to 12) and (v″ = 13). The red solid line is a linear fit of the experimental points. Credit: Science Advances, doi: 10.1126/sciadv.aay4058

    High vibrational states of the Magnesium dimer (Mg2) are an important system in studies of fundamental physics, although they have eluded experimental characterization for half a century. Experimental physicists have so far resolved the first 14 vibrational states of Mg2, despite reports that the ground-state may support five additional levels. In a new report, Stephen H. Yuwono and a research team in the departments of physics and chemistry at the Michigan State University, U.S., presented highly accurate initial potential energy curves for the ground and excited electron states of Mg2. They centered the experimental investigations on calculations of state-of-the-art coupled-cluster (CC) and full configuration interaction computations of the Mg2 dimer. The ground-state potential confirmed the existence of 19 vibrational states with minimal deviation between previously calculated rovibrational values and experimentally derived data. The computations are now published on Science Advances and provide guidance to experimentally detect previously unresolved vibrational levels.

    Background

    Weakly bound alkaline-earth (AE2) dimers can function as probes of fundamental physics phenomena, such as ultracold collisions, doped helium nanodroplets, binary reactions and even optical lattice clocks and quantum gravity. The magnesium dimer is important for such applications since it has several desirable characteristics including nontoxicity and an absence of hyperfine structure in the most abundant 24Mg isotope that typically facilitates the analysis of binary collisions and other quantum phenomena. However, the status of Mg2 as a prototype heavier AE2 species is complicated since scientists have not been able to experimentally characterize its high vibrational levels and ground-state potential energy curve (PEC) for so long.

    Experimental detection difficulties arose from several factors including small energy gaps, rotational effects between high vibrations and unfavorable signal-to-noise ratio in spectra. In 1970, physicists Balfour and Douglas first obtained high-resolution photoabsorption spectra of Mg2 and showed the existence of extra vibrational states (v) with v">12. In 1973, a research team identified the v″ = 13 level and a resulting potential energy curve supporting 19 vibrational states—but four decades later in 2013, experimental physicists were still unable to identify the transitions. Experimental work alone was insufficient and scientists required accurate theoretical calculations to guide further analysis of ground-state PEC and rovibrational states of Mg2. But only a handful of theoretical investigations could determine the vibrational manifold of the magnesium dimer. To probe vibrational manifolds of the magnesium dimer in its ground-state, scientists must also experimentally involve excited electronic states.

    Quantum Computation Reveals Previously Unknown Vibrational States of Magnesium Dimer

    Schematics of the pump, X1Σ+g(v″ = 5, J″ = 10) → A1Σ+u(v′ = 3, J′ = 11) (ground to excited vibrational level transition), and fluorescence, A1Σ+u(v′ = 3, J′ = 11) → X1Σ+g(v″, J″ = 10,12) (excited level to ground level transition), processes resulting in the LIF spectrum for 24Mg2. The X1Σ+g and A1Σ+u PECs and the corresponding X1Σ+g(v″ = 5, J″ = 10) and A1Σ+u(v′ = 3, J′ = 11) rovibrational wave functions were calculated in this work. The A1Σ+u PEC was shifted to match the experimentally determined adiabatic electronic excitation energy Te of 26,068.9 cm−1. Credit: Science Advances, doi: 10.1126/sciadv.aay4058

    Experiment

    In the present work, Yuwono et al. provided reliable computation of the ground-state PEC (potential energy curve) and rovibrational states of Mg2 that had eluded experimentalists for decades using quantum mechanics. During the computational protocol for the excited state they adopted the equation of motion coupled-cluster (EOMCC) method. Since rovibrational levels of the Mg2 species besides 24Mg2 had not been previously calculated, Yuwono et al. strengthened the experiments by including magnesium isotopologues. For example, for each of the two electronic potentials considered for the magnesium dimers, they examined the most abundant 24Mg2, followed by the heavier isotopologues– 24Mg25Mg; 24Mg26Mg; 25Mg; 25Mg26Mg and 26Mg2.

    The team began discussing the results with PEC values and rovibrational terms to characterize the ground and excited states of the magnesium dimer. They designated the vibration and rotational quantum numbers (v and J) in the ground-state with a double prime (v" and J" respectively) and those in an excited state with a prime. They then compared previous reports with current computations and suggested potential pathways to detect the elusive 13 ground-state vibrational levels (v″ > 13) of the magnesium dimer. The scientists calculated highly accurate dissociation energy (De) and equilibrium bond length (re) values for 24Mg2 and the associated isotopologues—in good agreement with available data. The team gathered further insights to the quality of their initial calculations for the ground-state PEC by comparing the rovibrational terms with their experimental counterparts calculated in a previous study.

    Quantum Computation Reveals Previously Unknown Vibrational States of Magnesium Dimer

    The A1Σ+u(v′ = 3, J′ = 11) → X1Σ+g(v″, J″ = 10,12) LIF spectrum of 24Mg2. (A) Comparison of the experimental A1Σ+u(v′ = 3, J′ = 11) → X1Σ+g(v″, J″ = 10,12) fluorescence progression [black solid lines; adapted with permission of AIP Publishing] with its ab initio counterpart obtained in this work (red dashed lines). The theoretical line intensities were normalized such that the tallest peaks in the calculated and experimental spectra corresponding to the v″ = 5 P12 line match. (B) Magnification of the low-energy region of the LIF spectrum shown in (A), with red solid lines representing the calculated transitions. The blue arrows originating from the v″ = 13 label indicate the location of the experimentally observed v″ = 13 P12/R10 doublet. The blue arrows originating from the v″ = 14 and 15 labels point to the most probable locations of the corresponding P12/R10 doublets. Spectral lines involving v″ = 16 and 17 are buried in the noise. Credit: Science Advances, doi: 10.1126/sciadv.aay4058

    Yuwono et al. calculated rovibrational transitions of interest as fluorescence frequencies using laser-induced fluorescence (LIF) spectra to extrapolate the ground-state potential energy curve. The higher quality of the calculated v" (vibrational) and J″ (rotational) values and spacings in the ground-state allowed them to detect the existence of v" > 13 levels that had previously escaped experimental detection. The work further implied that the LIF spectroscopic detection of high vibrational states of Mg2 could only be achieved if the molecule did not rotate too fast.

    Theory vs. Experiment and Theory-based Experimental Avenues

    The most compelling evidence for the predicted initial electronic structure and rovibrational calculations resulted from the nearly perfect reproduction of the experimental transitions from the excited state to the ground-state, based on the LIF spectrum. Based on the agreement between the theoretical and experimental LIF spectra, the scientists predicted the transition frequencies involving the elusive v" >13 states to be accurate, providing guidance for adequate experimental detection in the future. They magnified regions of the LIF spectrum to overcome the signal-to-noise ratio and grasped the transitions from excited states to ground-states. However, the densely spaced and overlapping lines made experimental identification of the vibrational states at v" = 14 very difficult. To detect the elusive v" = 14 to 18 vibrational levels in the future, Yuwono et al. adopted theory-inspired experimental avenues and examined vibrational transitions within regions of interest in the most abundant isotopologue of the Mg dimer, 24Mg2.

    Quantum Computation Reveals Previously Unknown Vibrational States of Magnesium Dimer

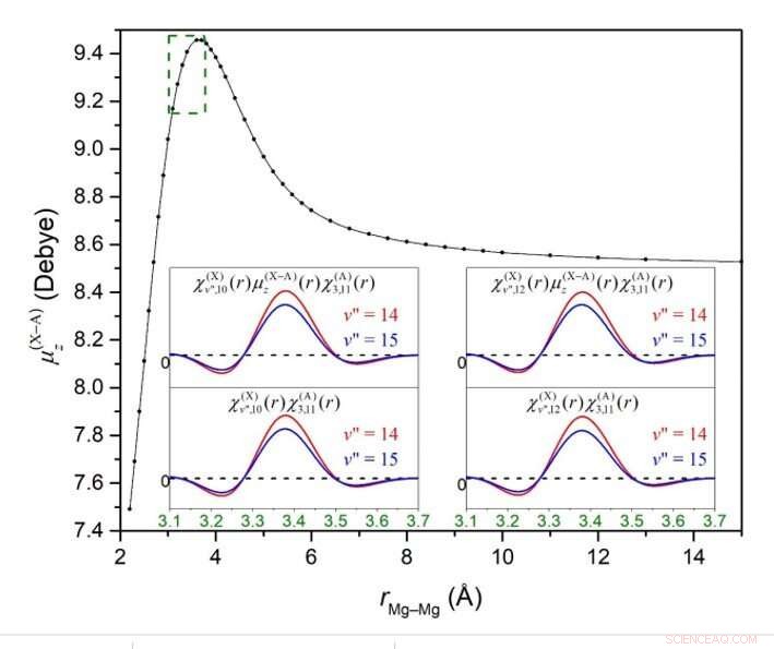
    The X1Σ+g - A1Σ+u electronic transition dipole moment µ2(XA) (r) obtained in the valence full CI/A(Q+d)Z calculations for the magnesium dimer as a function of the internuclear separation r. Credit: Science Advances, doi: 10.1126/sciadv.aay4058

    In this way, Stephen H. Yuwono and colleagues used state-of-the-art ab initio quantum mechanical methods to address a half-century-old enigma to detect the elusive vibrational states of the magnesium dimer. The element is important for its significant role in fundamental physics applications. The team provided highly accurate ground-state PEC and rovibrational values of 24Mg2 and its less abundant isotopologues. The elusive v"> 13 vibrational states investigated in the experiment became unbound as the rotational quantum number (J") increased, contributing to difficulties during experimental detection, prompting them to implement methods to overcome such challenges. The work provides a road map to experimentally identify rovibronic transitions involving the v"> 13 levels. Yuwono et al. expect the study to fuel new spectroscopic investigations of the challenging Mg2 species and its heavier analogues that contribute to important phenomena at the intersection of chemistry, atomic, molecular and optical physics.

    © 2020 Science X Network




    Science Discoveries © www.scienceaq.com