• Home
  • Chemistry
  • Astronomy
  • Energy
  • Nature
  • Biology
  • Physics
  • Electronics
  • Advances in Turbulent Combustion Modeling: Introducing the Filtered Flamelet Approach
    Advances in Turbulent Combustion Modeling: Introducing the Filtered Flamelet Approach

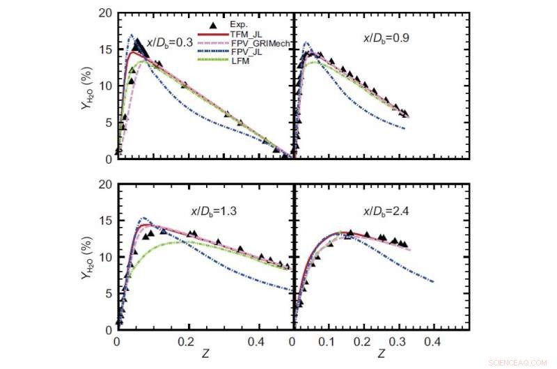
    Distribution of the H2O in Sydney bluff body turbulent jet flame at different axial sections. Credit: ©Science China Press

    In turbulent combustion, the interaction between a strong nonlinear reaction source and turbulence leads to a broad spectrum of the spatio and temporal scales. From the modeling point of view, it is especially challenging to predict field statistics satisfactorily. Although there are different turbulent combustion models, e.g. the flamelet-like model, probability density function-like model, conditional moment closure model and eddy dissipation concept model, the bases of model closure have not been reasonably justified.

    Recently, a new modeling idea for turbulent diffusion flame has been proposed by Lipo Wang's group from Shanghai Jiao Tong University and Jian Zhang from the Institute of Mechanics, CAS. The article titled "non-premixed turbulent combustion modeling based on the filtered turbulent flamelet equation" was published in Science China Physics, Mechanics & Astronomy.

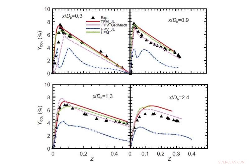
    In the framework of large eddy simulation (LES), a new filtered flamelet equation was first derived, based on which a filtered flamelet model could be constructed directly from the filtered quantities. For instance, the scalar dissipation rate of the filtered progress variable, instead of the unfiltered one, is involved in the model construction. Therefore, the model uncertainty can be largely reduced. Figures 1 and 2 show the comparison between the simulation results of the Sydney bluff-body turbulent jet flame using different models, including the newly proposed filtered flamelet model with simplified mechanism (solid red lines), the flamelet/progress variable approach with detailed mechanism (dotted pink lines); the flamelet/progress variable approach with simplified mechanism (dotted blue lines), the laminar flamelet model with detailed mechanism (dotted green lines) and the experiment results (solid triangle marks). Overall, the new model results agree satisfactorily with the experimental data.

    In summary, the promising performance of the present filtered flamelet model can be attributed to the new inspiration of model construction based on the filter flamelet equation. Further improvement and various case tests will be implemented in future work.

    Advances in Turbulent Combustion Modeling: Introducing the Filtered Flamelet Approach

    Distribution of the CO2 in Sydney bluff body turbulent jet flame at different axial sections. Credit: ©Science China Press




    Science Discoveries © www.scienceaq.com