• Home
  • Chemistry
  • Astronomy
  • Energy
  • Nature
  • Biology
  • Physics
  • Electronics
  • Probing Majorana Fermions through Non-Equilibrium Current Noise
    Probing Majorana Fermions through Non-Equilibrium Current Noise

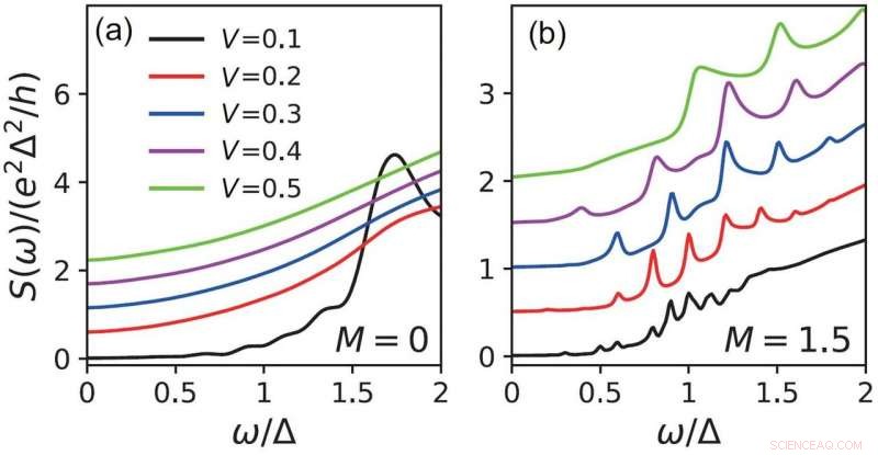
    The non-equilibrium noise at a finite frequency for various values of the applied bias voltage for a topo-logical Josephson junction with two different transmission probabilities D = 1 (a) and D < 1 (b), respectively. The peaks in the right figure uncover the existence of the Majorana fermions. Credit: ©Science China Press

    Majorana fermions are particles that are their own antiparticles. In condensed matter physics, zero-energy Majorana fermions obey non-abelian statistics, and can be used in fault-tolerant topological quantum computation. They are thus the subject of extensive studies. However, as Majorana fermions carry no electric charge, detecting them experimentally is still a challenge. A current noise study now provides a direct method for the detection of these novel particles.

    The paper, titled "Current noise in a topological Josephson junction," was published in SCIENCE CHINA Physics, Mechanics & Astronomy, whose corresponding authors are Prof. Hua Jiang from Soochow University and Prof. X. C. Xie from Peking University. Using non-equilibrium Green's function method, the authors analyze the current across a topological Josephson junction and related current noises, revealing the relation between the existence of Majorana fermions and non-equilibrium current noise.

    It has been predicted that a topological Josephson junction can host two zero-energy Majorana bound states at its interfaces if the time reversal symmetry is broken. These bound states give rise to two 4π periodic energy-phase relations that correspond to different parities and intersect with each other. Such energy-phase relations lead to a fractional Josephson effect of the same periodicity. Nevertheless, in a realistic system, the infinitesimal energy gap opened by the finite size effect will restore the 2π periodicity. In non-equilibrium, the Majorana bound states may overcome this energy gap under a bias V. Theoretical work has predicted that the current noise exhibits a peak at ω=eV due to the coupling between Majorana bound states and the continuum. However, these Majorana bound states could also couple the continuum after a process of multiple Andreev reflections happens at the interfaces, resulting in novel phenomena.

    Based on the non-equilibrium Green function method, the researchers studied the effect of the multiple Andreev reflections both in the absence and in the presence of a DC bias voltage. They show that the equilibrium noise and the equilibrium current exhibit the same 2π periodicity as those in conventional junctions due to the finite-size effect. However, the dips of the equilibrium noise indicate the signature of the fractional Josephson effect. On the other hand, the multiple Andreev reflections induced peaks of finite frequency non-equilibrium noise that appeared at ω = neV, providing a proof for the experimental detection of these Majorana bound states.

    Science Discoveries © www.scienceaq.com