• Home
  • Chemistry
  • Astronomy
  • Energy
  • Nature
  • Biology
  • Physics
  • Electronics
  • Advancing the Universal Quantum Bus: Harnessing Nonlinear Up‑Conversion
    Advancing the Universal Quantum Bus: Harnessing Nonlinear Up‑Conversion

    The non-linear crystal, located under the white strip at left of center, up-converts a combination of 1550 nm light and 920 nm light (invisible) to a single output frequency of 577 nm, a bright yellow, while adding almost no noise. Credit: National Institute of Standards and Technology

    NIST scientists have achieved a world record in detecting the intensity of an ultra-faint source of light, equaling the capabilities of the deep-space instruments on the Hubble Space Telescope but operating 100 times faster and with equivalent accuracy.

    They did so in the course of developing a "universal quantum bus"—a novel system to allow photonic connections between disparate components of a quantum computer, each of which can operate at a very different and narrow range of photon frequency. The new signal-conversion scheme "provides a quantum link between different material systems operating at different frequencies," says Ivan Burenkov, first author in a new report from a team at NIST's Physical Measurement Laboratory recently published in Optics Express .

    Conventional computers manage data in multiple ways in various materials: They process information as electric charges in silicon chips (tiny transistors in integrated circuits), store it in magnetic form on hard drives, and transfer it as photons over fiber-optic lines. Similarly, quantum circuits may have to transfer information via photons among quantum dots, ensembles of atoms, trapped ions, or other materials systems.

    The problem is that each of those components responds to very different frequencies of light. A signal produced by one component, such as a quantum dot, may have to be transferred to a trapped ion which is sensitive only to photons at a much higher frequency than the original dot signal. Bridging that gap calls for a frequency converter that can preserve the fragile quantum states of the signal photons without adding noise.

    In pursuing that goal, the researchers employed an optical technique called "up-conversion" in which a relatively low-energy photon – the input signal – is combined with a "pump" light beam and then routed through a special "non-linear" crystal. In passing through the crystal, the energies of both the input and the pump are joined, producing a single output photon of a higher frequency and therefore higher energy. (That is the "up" in up-conversion.)

    One persistent difficulty with the technique is that the pump beam can contain so much power that when it hits the crystal it generates a large amount of "noise" in the form of unwanted photons that can swamp the delicate quantum states.

    "We solved that problem when we found that the separation between pump frequency and signal frequency should be rather large in order to get a relatively noiseless up-converter," Burenkov says.

    The project team used a pump beam of continuous, high-power light at a standard telecom wavelength of 1550 nanometers (nm, billionths of a meter), and merged it with input photons at a near-infrared wavelength of 920 nm. The up-converted output photon was a visible yellow with a wavelength of 577 nm. The wide separation between those wavelengths substantially reduced background emission.

    Advancing the Universal Quantum Bus: Harnessing Nonlinear Up‑Conversion

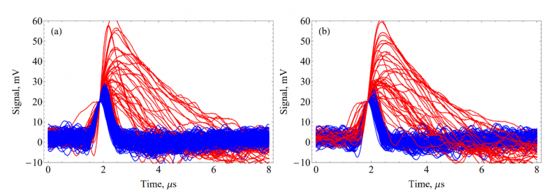
    Identifying the characteristic waveforms of up-conversion background noise (left) and dark counts (right) enables a type of a signal-filtering system that is able to reduce errors by orders of magnitude. Red curves are detector waveforms that are filtered out; blue curves are accepted. Credit: National Institute of Standards and Technology

    But that still left the formidable difficulty of detecting and measuring the remaining, exceedingly small, background. The researchers found that their upconverter produces background photons at the rate of just about 100 per hour. That corresponds in scale to the faint light coming from the dimmest distant astronomical objects.

    Capturing and characterizing such feeble light requires an exquisitely sensitive photon detector. The team employed a device, developed at NIST's Boulder, Colo., campus, called a transition edge sensor (TES). It is operated at 0.1 kelvin above absolute zero, and contains a thin layer of superconducting material through which a small current flows. When a photon strikes the strand, it briefly raises the temperature, causing a spike in electrical resistance and a corresponding drop in current that is recorded as a waveform. Different wavelengths produce waveforms that are noticeably different, and that difference can be used to distinguish noise. The NIST scientists were able to calibrate the TES by determining which waveforms were associated with different background-photon wavelengths.

    Even that, however, was not sufficient to fully characterize the background because TES detectors, like all single-photon sensor designs, are subject to a persistent source of error called a "dark count" – a signal that is recorded when no photon is actually present, owing to random thermal or other effects in the detector.

    The team's converter design allows the detector to be run in a way that results in a much-reduced dark count rate. Because the high-energy, up-converted output photons register as larger peaks in the detector than most low energy dark counts, it is possible to adjust the detector system so that it filters out all signals that fall below a certain energy threshold. That way many spurious signals are discarded before being counted. But it remained to find a way to distinguish the remaining dark counts from background photons.

    To accomplish that, the scientists recorded 10,000 waveforms from upconverted photons, as well as waveforms from background noise alone and waveforms from dark counts alone. They found that both the background photons and dark counts had waveforms distinctively different in amplitude and shape from the upconverted output photons, and adjusted the detector system to reject both.

    The result was a thousand-fold decrease in dark count rate, which made it possible for the team to make faint-light measurements with record absolute accuracy in a fraction of the time formerly required.

    "On the Hubble Space Telescope, they collect data on extreme faint deep-space objects for a few months," says co-author Sergey Polyakov. "We collect comparable data for less than 24 hours, but with equal or even better accuracy."

    The up-conversion scheme can be used for different wavelengths with appropriate modifications. Eventually, Burenkov says, it could become a universal quantum bus.

    Science Discoveries © www.scienceaq.com