• Home
  • Chemistry
  • Astronomy
  • Energy
  • Nature
  • Biology
  • Physics
  • Electronics
  • Unveiling the Intricate Properties of Quantum Solitary Waves
    Unveiling the Intricate Properties of Quantum Solitary Waves

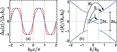
    (a) Stationary soliton train profile of the order parameter with wave vector k0 for different values of the sharpness parameter k1. Solid: k1 = 0.65, dashed: k1 = 0.999. The sharpness is set by the soliton spacing, interaction strength, and spin imbalance. (b) BdG singleparticle spectrum of the soliton train in the extended zone, for k1 = 0.65. The arrows show three types of particle-hole excitations, which give rise to disconnected continua in the collective excitation spectrum. Credit: arXiv:1612.04845 [cond-mat.quant-gas]

    Solitary waves – known as solitons – appear in many forms. Perhaps the most recognizable is the tsunami, which forms following a disruption on the ocean floor and can travel, unabated, at high speeds for hundreds of miles.

    By definition, a soliton retains its shape while propagating at a constant velocity. But what happens when two, or more, solitons interact? The general consensus from past studies is that solitons are essentially unchanged by such an interaction and pass through one another, but physics professor Erich Mueller and graduate student Shovan Dutta have challenged that notion in a report just published in Physical Review Letters.

    Their paper, "Collective Modes of a Soliton Train in a Fermi Superfluid," was published June 29. Both men work in Cornell's Laboratory of Atomic and Solid State Physics.

    The team found something drastically different for solitons interacting in a superfluid, which forms when a gas of atoms is cooled to near absolute zero. Not only do the solitons affect one another, but they can even collide and destroy each other.

    Recent experiments have created single, long-lived solitons in a superfluid. Dutta and Mueller theoretically examined the interactions within a large array of such solitons in a superfluid, such as Lithium-6. To their surprise, Mueller and Dutta discovered an instability where pairs of solitons collide and annihilate one another. They also found a variety of novel collective oscillations of the solitons.

    The instability rate is sensitive to the separation of solitons and the interaction between atoms, both of which can be tuned in experiments. In addition, they found that the instability could be prevented by magnetizing the gas – forming an exotic quantum state first discussed in the 1960s in the context of superconductors with magnetic impurities.

    Dutta and Mueller began this work searching for supersymmetry in condensed-matter physics; in particle physics, the theory of supersymmetry relates the two basic classes of elementary particles – bosons and fermions – and states that for every particle from one group, there exists a "superpartner" from the other.

    "One direction that we were running in," Mueller said, "was that we thought we had a way of explicitly seeing this symmetry [in condensed matter]."

    It turned out not to exist, Mueller said, but what he and Dutta did find formed the basis of their paper. In comparing bosonic and fermionic excitations of the superfluid, they examined the collective motion of an array of solitons and found that the waves – which were formed in essentially one dimension – took on several collective motions. Some of them were expected, but others, including the instability, were not.

    They also found that the instability could be overcome by magnetization, which effectively forms an imbalanced, spatially modulated superfluid phase – known as the FFLO state – that had been discussed in theoretical terms 50 years ago but never directly realized in experiments. This opens the door, Dutta said, to further study into novel quantum states and related areas, such as exotic superconductivity.

    "It has been a long-standing challenge for a large community of people, to create this quantum state," he said, "and our findings show that one can directly engineer it in cold atomic gases."

    Mueller and Dutta have submitted a related paper on their protocol for direct engineering of this novel quantum state. Their work broadens our understanding of the nonequilibrium dynamics of many-body quantum systems.

    "If you can establish the basic elements of the dynamics for this system, which could be seen as a prototype for more complicated systems, then that gives you some understanding of how the quantum world works," Dutta added.

    Science Discoveries © www.scienceaq.com