• Home
  • Chemistry
  • Astronomy
  • Energy
  • Nature
  • Biology
  • Physics
  • Electronics
  • Physicists Strengthen Retrocausal Quantum Theory, Suggesting Future Can Influence Past
    Physicists Strengthen Retrocausal Quantum Theory, Suggesting Future Can Influence Past

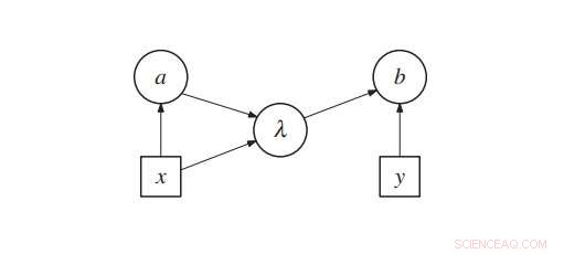
    Can Bell correlations be explained by retrocausal influences? Figure shows an influence diagram representing the possible causal influences in a model with no retrocausality. Credit: Leifer and Pusey. ©2017 The Royal Society

    (Phys.org)—Although there are many counterintuitive ideas in quantum theory, the idea that influences can travel backwards in time (from the future to the past) is generally not one of them. However, recently some physicists have been looking into this idea, called "retrocausality," because it can potentially resolve some long-standing puzzles in quantum physics. In particular, if retrocausality is allowed, then the famous Bell tests can be interpreted as evidence for retrocausality and not for action-at-a-distance—a result that Einstein and others skeptical of that "spooky" property may have appreciated.

    In a new paper published in Proceedings of The Royal Society A, physicists Matthew S. Leifer at Chapman University and Matthew F. Pusey at the Perimeter Institute for Theoretical Physics have lent new theoretical support for the argument that, if certain reasonable-sounding assumptions are made, then quantum theory must be retrocausal.

    The appeal of retrocausality

    First, to clarify what retrocausality is and isn't: It does not mean that signals can be communicated from the future to the past—such signaling would be forbidden even in a retrocausal theory due to thermodynamic reasons. Instead, retrocausality means that, when an experimenter chooses the measurement setting with which to measure a particle, that decision can influence the properties of that particle (or another particle) in the past, even before the experimenter made their choice. In other words, a decision made in the present can influence something in the past.

    In the original Bell tests, physicists assumed that retrocausal influences could not happen. Consequently, in order to explain their observations that distant particles seem to immediately know what measurement is being made on the other, the only viable explanation was action-at-a-distance. That is, the particles are somehow influencing each other even when separated by large distances, in ways that cannot be explained by any known mechanism. But by allowing for the possibility that the measurement setting for one particle can retrocausally influence the behavior of the other particle, there is no need for action-at-a-distance—only retrocausal influence.

    Generalizing retrocausality: with or without a real quantum state

    One of the main proponents of retrocausality in quantum theory is Huw Price, a philosophy professor at the University of Cambridge. In 2012, Price laid out an argument suggesting that any quantum theory that assumes that 1) the quantum state is real, and 2) the quantum world is time-symmetric (that physical processes can run forwards and backwards while being described by the same physical laws) must allow for retrocausal influences. Understandably, however, the idea of retrocausality has not caught on with physicists in general.

    "There is a small group of physicists and philosophers that think this idea is worth pursuing, including Huw Price and Ken Wharton [a physics professor at San José State University]," Leifer told Phys.org. "There is not, to my knowledge, a generally agreed upon interpretation of quantum theory that recovers the whole theory and exploits this idea. It is more of an idea for an interpretation at the moment, so I think that other physicists are rightly skeptical, and the onus is on us to flesh out the idea."

    In the new study, Leifer and Pusey attempt to do this by generalizing Price's argument, which perhaps makes it more appealing in light of other recent research. They begin by removing Price's first assumption, so that the argument holds whether the quantum state is real or not—a matter that is still of some debate. A quantum state that is not real would describe physicists' knowledge of a quantum system rather than being a true physical property of the system. Although most research suggests that the quantum state is real, it is difficult to confirm one way or the other, and allowing for retrocausality may provide insight into this question. Allowing for this openness regarding the reality of the quantum state is one of the main motivations for investigating retrocausality in general, Leifer explained.

    "The reason I think that retrocausality is worth investigating is that we now have a slew of no-go results about realist interpretations of quantum theory, including Bell's theorem, Kochen-Specker, and recent proofs of the reality of the quantum state," he said. "These say that any interpretation that fits into the standard framework for realist interpretations must have features that I would regard as undesirable. Therefore, the only options seem to be to abandon realism or to break out of the standard realist framework.

    "Abandoning realism is quite popular, but I think that this robs science of much of its explanatory power and so it is better to find realist accounts where possible. The other option is to investigate more exotic realist possibilities, which include retrocausality, relationalism, and many-worlds. Aside from many-worlds, these have not been investigated much, so I think it is worth pursuing all of them in more detail. I am not personally committed to the retrocausal solution over and above the others, but it does seem possible to formulate it rigorously and investigate it, and I think that should be done for several of the more exotic possibilities."

    Can't have both time symmetry and no-retrocausality

    In their paper, Leifer and Pusey also reformulate the usual idea of time symmetry in physics, which is based on reversing a physical process by replacing t with –t in the equations of motion. The physicists develop a stronger concept of time symmetry here in which reversing a process is not only possible but that the probability of occurrence is the same whether the process is going forward or backward.

    The physicists' main result is that a quantum theory that assumes both this kind of time symmetry and that retrocausality is not allowed runs into a contradiction. They describe an experiment illustrating this contradiction, in which the time symmetry assumption requires that the forward and backward processes have the same probabilities, but the no-retrocausality assumption requires that they are different.

    So ultimately everything boils down to the choice of whether to keep time symmetry or no-retrocausality, as Leifer and Pusey's argument shows that you can't have both. Since time symmetry appears to be a fundamental physical symmetry, they argue that it makes more sense to allow for retrocausality. Doing so would eliminate the need for action-at-a-distance in Bell tests, and it would still be possible to explain why using retrocausality to send information is forbidden.

    "The case for embracing retrocausality seems stronger to me for the following reasons," Leifer said. "First, having retrocausality potentially allows us to resolve the issues raised by other no-go theorems, i.e., it enables us to have Bell correlations without action-at-a-distance. So, although we still have to explain why there is no signaling into the past, it seems that we can collapse several puzzles into just one. That would not be the case if we abandon time symmetry instead.

    "Second, we know that the existence of an arrow of time already has to be accounted for by thermodynamic arguments, i.e., it is a feature of the special boundary conditions of the universe and not itself a law of physics. Since the ability to send signals only into the future and not into the past is part of the definition of the arrow of time, it seems likely to me that the inability to signal into the past in a retrocausal universe could also come about from special boundary conditions, and does not need to be a law of physics. Time symmetry seems less likely to emerge in this way (in fact, we usually use thermodynamics to explain how the apparent time asymmetry that we observe in nature arises from time-symmetric laws, rather than the other way round)."

    As the physicists explain further, the whole idea of retrocausality is so difficult to accept because we don't ever see it anywhere else. The same is true of action-at-a-distance. But that doesn't mean that we can assume that no-retrocausality and no-action-at-a-distance are true of reality in general. In either case, physicists want to explain why one of these properties emerges only in certain situations that are far removed from our everyday observations.

    "One way of looking at all the no-go theorems is in terms of fine-tunings," Leifer explained. "You notice a property of the predictions of the theory and you assume that this property is also true of reality. Then you show that this is incompatible with reproducing the predictions of quantum theory and you have a no-go theorem.

    "For example, in Bell's Theorem, we notice that we cannot send superluminal signals so we assume there are no superluminal influences in reality, but this gets us into conflict with the experimentally observed predictions. Notice that it is not really superluminal influences per se that are the biggest problem. If we were able to send signals faster than light we would simply say, 'Oh well, Einstein was wrong. Relativity theory is just incorrect.' And then get on with doing physics. But that is not what happened: no signaling still holds on the level of what we observe, it is just that there is a tension between this and what must be going on in reality to reproduce what we observe. If there are superluminal influences, then why can't we observe them directly? This is the puzzle that cries out for explanation."

    Implications and questioning assumptions

    If retrocausality is a feature of the quantum world, then it would have vast implications for physicists' understanding of the foundations of quantum theory. Perhaps the biggest significance is the implication for the Bell tests, showing that distant particles really cannot influence each other, but rather—as Einstein and others believed—that quantum theory is incomplete. If the new results are true, then retrocausality may be one of the missing pieces that makes quantum theory complete.

    "I think that different interpretations [of quantum theory] have different implications for how we might go about generalizing standard quantum theory," Leifer said. "This might be needed to construct the correct theory of quantum gravity, or even to resolve some issues in high-energy physics given that the unification of the other three forces is still up in the air in the light of LHC results. So I think that future theories built on the ideas of existing interpretations are where we might see a difference, but admittedly we are quite far from figuring out how this might work at present.

    "Speculatively, if there is retrocausality in the universe, then it might be the case that there are certain eras, perhaps near the big bang, in which there is not a definite arrow of causality. You might imagine that a signature of such an era might show up in cosmological data, such as the cosmic microwave background. However, this is very speculative, and I have no idea what signatures we might expect yet."

    The physicists don't have any experiments lined up to test retrocausality—but as the idea is more an interpretation of observations rather than making new observations, what's needed most may not be a test but more theoretical support.

    "As far as direct experimental tests of retrocausality go, the status is not much different from other things in the foundations of quantum mechanics," Leifer said. "We never test one assumption in isolation, but always in conjunction with many others, and then we have to decide which one to reject on other grounds. For example, you might think that Bell experiments show that nature is nonlocal, but only if you have first decided to accept other assumptions, such as realism and no-retrocausality. So, you might say that Bell experiments already provide evidence for retrocausality if you are disinclined to reject realism or locality. Similarly, the kind of experiments we describe in our paper provide some evidence for retrocausality, but only if you refuse to reject the other assumptions.

    "In fact, the situation is really the same in all scientific experiments. There are a host of assumptions about the workings of the experimental apparatus that you have to accept in order to conclude that the experiment shows the effect you are looking for. It is just that, in the case of quantum foundations, the subject is very controversial, so we are more likely to question basic assumptions than we are in the case of, say, a medical drug trial. However, such assumptions are always there and it is always possible to question them."

    © 2017 Phys.org

    Science Discoveries © www.scienceaq.com