• Home
  • Chemistry
  • Astronomy
  • Energy
  • Nature
  • Biology
  • Physics
  • Electronics
  • LK-99 Superconductivity Claim Debunked: New Evidence Shows It's Not Superconducting
    LK-99 Superconductivity Claim Debunked: New Evidence Shows It s Not Superconducting
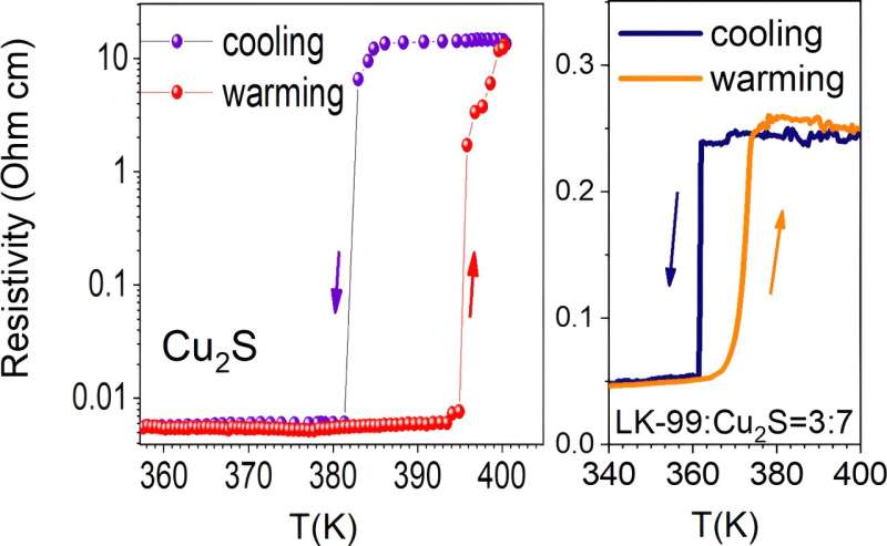
    Temperature dependence of resistivity of Cu2S, LK-99 including Cu2S. Credit: Institute of Physics

    In a study published Nov. 24 in Matter, researchers led by Prof. Luo Jianlin from the Institute of Physics of the Chinese Academy of Sciences (CAS) have provided solid evidence that LK99 is non-superconducting, thus disproving earlier superconductivity claims.

    Sukbae Lee and colleagues from South Korea earlier asserted that LK-99 behaves as a superconductor at ambient pressure, with a critical temperature (Tc) up to 127°C (400 K). The groundbreaking news excited scientists as well as people on social media due to its potential impact on technology.

    As reported by Nature News, claims about the supposed superconductivity of LK-99 became a viral sensation, prompting numerous replication efforts by scientists and amateurs alike. Several groups have attempted to replicate the results, but none have provided direct evidence of superconductivity. The most puzzling question is what causes the sharp drop in resistivity and why it occurs only in a few samples.

    In this study, the researchers observed that the LK-99 generated by Lee and colleagues contained a certain amount of Cu2S impurity, which undergoes a structural phase transition from a hexagonal structure at high temperature to a monoclinic structure at low temperature around 400 K. They found that the resistivity of Cu2S decreased by three to four orders of magnitude around 385 K, close to the transition temperature reported in references.

    In addition, they measured the resistivity of the mixture of LK-99 and Cu2S, identifying a sharp resistivity transition at the temperature consistent with the reported findings but without zero resistance.

    It is important to note that this first-order structural transition differs significantly from the second-order superconducting transition. The researchers observed thermal hysteresis behavior in the resistivity and magnetic susceptibility measurements, confirming that it is a first-order transition and cannot be a second-order superconducting transition.

    More information: Shilin Zhu et al, First-order transition in LK-99 containing Cu2S, Matter (2023). DOI: 10.1016/j.matt.2023.11.001

    Journal information: Matter

    Provided by Chinese Academy of Sciences




    Science Discoveries © www.scienceaq.com