• Home
  • Chemistry
  • Astronomy
  • Energy
  • Nature
  • Biology
  • Physics
  • Electronics
  • Exploring Field-Induced Superconductivity in Quantum Materials
    Exploring Field-Induced Superconductivity in Quantum Materials
    Strain and field-tunable ferromagnetic superconductivity. (A) The ferromagnetic material Eu(Fe.88Co.12)2As2 consists of stacked planes of Eu and doped FeAs layers, with the former exhibiting ferromagnetism (FM; TFM = 17 K) and the latter hosting both nematicity (N; TS = 68 K) and superconductivity (SC; TSC = 19 K). Below TFM, the coexistence and competition between the three phases enables exceptional tunability of the superconductivity. (B) A small in-plane magnetic field reorients the Eu moments from out of plane to in plane, reducing the magnetic flux through the FeAs layers. A zero-resistance (R = 0) state occurs in the vicinity of the full saturation of the moments in plane (at H = Hsat), demonstrating field-induced superconductivity. (C) As in other iron-pnictide superconductors, the N/SC phase competition enables an effective strain tuning of superconductivity via strain tuning the lattice-coupled nematic order. Tensile strain (ɛxx > 0) along the FeAs bonding direction suppresses the nematicity-driven orthorhombicity along the FeFe bonding direction. This enhances superconductivity, with the entrance into the R = 0 state labeled as ε . (D) Combined strain and field tuning of the resistivity defines an R = 0 superconducting region of the phase diagram (gray) at one fixed temperature, with a precise shape that depends on the (temperature-dependent) values of ε and Hsat. For fields from H = 0 to H = Hsat, strain selects between an always metallic state (magenta), an always superconducting state (green), and a field-induced superconducting state (cyan). Thus, strain acts like a toggle switch for the phase field tunability. Credit: Science Advances, doi: 10.1126/sciadv.adj5200

    Field-induced superconductivity occurs when an applied magnetic field increases or induces superconductivity. In a new report published in Science Advances, Joshua J. Sanchez and a team of scientists applied stress as a switch between a field tunable superconducting state and a robust non-field tunable state, to mark the first demonstration of a strain-tunable, superconducting spin valve with infinite magnetoresistance.

    The scientists combined tunable uniaxial stress and applied a magnetic field on the ferromagnetic superconductor to shift the field-induced zero resistance temperature. Using X-ray diffraction, and spectroscopy measurements under stress, the team proposed the origin of field-induced superconductivity to result from a new mechanism known as the dipolar fold.

    Quantum materials in condensed matter physics

    It is possible to switch between distinct electronic phases in quantum materials by tuning the parameters to show how they interact to drive technological development. An area of significant development includes ferromagnetism and superconductivity, whose antagonistic interactions lead to unusual phenomena including magnetic vortices, and spin-polarized supercurrents as promising methods for energy-efficient data storage.

    Researchers have focused much attention on superconducting spin valves that surround a superconducting layer, for low energy dissipation information technologies. The development of such technologies can be limited by the very low temperatures required to implement them.

    Aside from artificial heterostructures, a handful of single crystal materials showed field-induced superconductivity, melting doped-superconductors, and organic superconductors. In these materials and thin-film superconducting spin valves, the zero-resistance temperature is below 1 Kelvin, thereby limiting their practical applications.

    Exploring Field-Induced Superconductivity in Quantum Materials
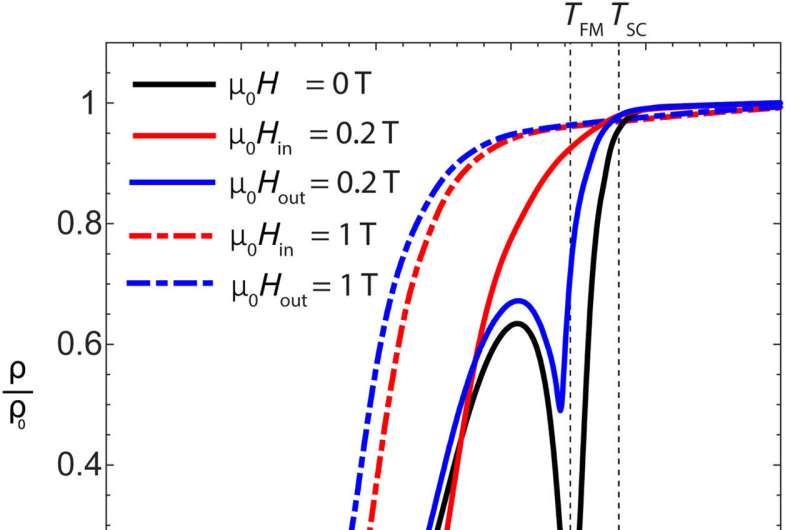
    Zero-strain field-induced superconductivity. Sample 1 resistivity versus temperature for zero applied field (black) and μ0H = 0.2 T (solid line) and 1 T (dashed line) applied in plane (red) and out of plane (blue). For μ0H = 0.2 T applied in plane, the zero-resistivity temperature rises from T0 = 7.5 to 9.0 K. Credit: Science Advances, doi: 10.1126/sciadv.adj5200

    Thin-film superconductance

    Within these materials, and within thin-film superconducting spin valves, the zero-resistance temperature is below 1 Kelvin, which can limit their practical applications. At present, the underlying mechanisms of field-induced superconductivity remain to be determined, where the effect can enhance the temperature.

    In this work, Sanchez et al. showed field-induced superconductivity in 12% co-doped superconducting materials with varying temperature, with applied uniaxial stress. The value provided the highest reported temperature of magnetic field-induced superconductivity in any material. The doped materials existed as a naturally grown thin-film superconducting spin valve architecture, with alternating ferromagnetic and superconducting layers.

    The team combined the synchrotron X-ray methods with transport measurements to show strain tuning capacity and field tuning properties to exist as features of independent superconductivity.

    Sanchez and colleagues combined strain tunability with high temperature and low switching fields to create an existing platform for potential superconducting spintronics applications. They further performed density functional theory calculations to highlight ferromagnetic and antiferromagnetic exchange interactions to solve the mystery of co-existing with ferromagnets.

    The team intends to explore how this mechanism can be realized in other systems including two-dimensional systems.

    Field-induced superconductivity

    During these experiments, the scientists grew single crystals with 12% co-doped materials in tin flux and noted how the non-stoichiometric growth composition yielded samples with increased superconducting transition temperatures. They selected samples from different growth batches and prepared them identically to better compare field and strain tuning of resistivity. During the experiments, the team cooled the samples through the superconducting and ferromagnetic temperatures, respectively.

    Exploring Field-Induced Superconductivity in Quantum Materials
    Strain and field-tunable phase diagram. (Right) Resistivity versus temperature for the zero-strain state (same as black curve in Figs. 2 and 3) and for the tensile (green) and compressive (magenta) strain states in Fig. 3C. (Left) Phase boundary between ρ > 0 and ρ = 0 states under zero strain (cyan), tension (green), and compression (magenta), determined by resistivity versus temperature data (diamonds) and resistivity versus magnetic field (squares). Field-induced superconductivity indicated by shaded areas for each strain state. Credit: Science Advances, doi: 10.1126/sciadv.adj5200

    After conducting these measurements, the team mounted the sample to a uniaxial stress device to measure the resistivity and strain range. When they applied the field at fixed temperature stress, they constructed a superconductivity strain field-tunable phase diagram.

    The research team noted the accessibility of the field-induced superconductivity in a temperature window under zero strain. As the temperature decreased, the increasing magnetic moment led to ferromagnetism having a larger influence on superconductivity.

    Strain and magnetic field—the tuning knobs of superconductivity

    To identify the independence of strain and magnetic field to tune superconductivity and resolve the mechanism of field-induced superconductivity, Sanchez and colleagues conducted transport measurements under applied strain, concurrent with X-ray diffraction or X-ray magnetic circular dichroism at the Advanced photon source. X-ray diffraction provided a powerful method to study ferromagnetic superconductors with element-specific magnetic information, under fluorescence mode.

    The team then effectively strain-tuned the superconductivity through its competition with strain-tunable nematicity and the associated ferromagnetic order. The research team noted field-induced superconductivity where a narrow strain range permitted field-induced superconductivity. Thereafter, to investigate the origin of field-induced superconductivity, the researchers performed simultaneous resistivity and X-ray measurements to independently tune the parameters of superconductivity.

    Exploring Field-Induced Superconductivity in Quantum Materials
    Conceptual approach for a toggle switch using a strain-switchable superconducting spin valve. (A) A field-switchable current divider is created by mechanically and electrically connecting a strain-tunable superconducting spin valve (SSV, blue) to a piezo actuator (gray). (B) A current I passes through the SSV from the input (Vin) to output (Vout) voltage leads, with Vout = Vin − IR. The voltage across the piezo is ΔVp = Vout. (C) Device parameters are chosen so that an applied strain ɛxx(Vin) = ε and/or an applied field H = Hsat switches the SSV from a metallic state (M, R > 0) to a superconducting state (SC, R = 0). (D) The circuit initializes at point (a) with the SSV in the M state. Write SC (cyan): A writing magnetic field is applied to switch the SSV from the M state to the SC state. As H increases to Hsat, R reduces to zero, which increases the piezo voltage to ΔVp = Vin and increases the strain to ε [point (b)]. The additional applied tension maintains the SC state after the writing field is removed [point (c)]. Thus, the device displays memory. Erase SC (magenta): The SSV can be returned to the M state (the written SC state can be erased) by directly discharging the piezo, i.e., by setting Vin = 0. Credit: Science Advances, doi: 10.1126/sciadv.adj5200

    The researchers incorporated the antiferromagnetic parent compound as a strong biquadratic interaction between the metallic moments to manifest large magneto-structural coupling. In this work, the team noted Zeeman splitting induced by an external field to facilitate superconductivity. The co-existence of superconductivity and ferromagnetism was another noted feature of related materials.

    Outlook

    In this way, Joshua J Sanchez and colleagues presented field-induced superconductivity between a range of temperatures by combining X-ray diffraction, X-ray circular dichroism, and transport measurements to show how strain and magnetic field facilitated independent tuning knobs.

    The high tunability of the system resulted in the simultaneous co-existence of superconducting, nematic, and ferromagnetic phases. The scientists expect even higher field-induced superconducting temperatures in materials engineered with a perfect balance between higher temperature superconductivity and ferromagnetism.

    Future research could assess a material's capacity or potential to conduct applications of superconducting spintronics by studying the degree of spin polarization, and spin-triplet pairing as it passes through field-tunable magnetic layers.

    More information: Joshua J. Sanchez et al, Strain-switchable field-induced superconductivity, Science Advances (2023). DOI: 10.1126/sciadv.adj5200

    Journal information: Science Advances

    © 2023 Science X Network




    Science Discoveries © www.scienceaq.com