• Home
  • Chemistry
  • Astronomy
  • Energy
  • Nature
  • Biology
  • Physics
  • Electronics
  • Understanding and Maximizing Quantum Entanglement: New Research
    Understanding and Maximizing Quantum Entanglement: New Research
    Graphical abstract. Credit: Physical Review B (2023). DOI: 10.1103/PhysRevB.108.L140403

    Entanglement is a property of quantum physics that is manifested when two or more systems interact in such a way that their quantum states cannot be described independently. In the terminology of quantum physics, they are said to be entangled, i.e. strongly correlated. Entanglement is of paramount importance to quantum computing. The greater the entanglement, the more optimized and efficient the quantum computer.

    A study conducted by researchers affiliated with the Department of Physics at São Paulo State University's Institute of Geosciences and Exact Sciences (IGCE-UNESP) in Rio Claro, Brazil, tested a novel method of quantifying entanglement and the conditions for its maximization. Applications include optimizing the construction of a quantum computer.

    An article on the study is published as a letter in Physical Review B.

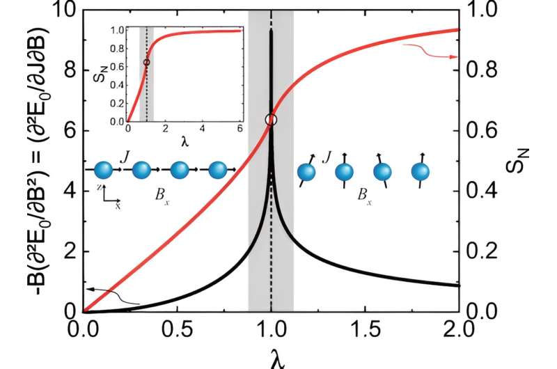
    The study showed how the Hellmann-Feynman theorem breaks down under specific conditions. The theorem describes the dependence of the system's own energy on a control parameter and is a key part of quantum mechanics used across disciplines from quantum chemistry to particle physics.

    "Simply put, we propose a quantum analog of the Grüneisen parameter widely used in thermodynamics to explore finite temperature and quantum critical points. In our proposal, the quantum Grüneisen parameter quantifies entanglement, or von Neumann entropy, in relation to a control parameter, which may be a magnetic field or a certain level of pressure, for example," Valdeci Mariano de Souza, last author of the article and a professor at IGCE-UNESP, told Agência FAPESP.

    "Using our proposal, we demonstrate that entanglement will be maximized near quantum critical points and that the Hellmann-Feynman theorem breaks down at a critical point."

    For Souza, the results contribute to basic physics research and could also directly impact quantum computing. Recalling Intel cofounder Gordon Moore's 1965 prediction that the number of transistors used in conventional computers would double every two years, he said this rapid growth in the power of classical computers could not last, while recent technological advances are enabling quantum computing to progress by leaps and bounds, with giants like Google and IBM in the lead.

    "In conventional computing, binary language in terms of zeroes and ones is used to process information. Quantum mechanics, however, superimposes states and hugely increases processing capacity. Hence the growing interest in research on quantum entanglement," he explained.

    The study was proposed and designed by Souza, and important contributions were made by Lucas Squillante, a postdoctoral researcher he supervises. The other collaborators were Antonio Seridonio (UNESP Ilha Solteira), Roberto Lagos-Monaco (UNESP Rio Claro), Luciano Ricco (University of Iceland), and Aniekan Magnus Ukpong (University of KwaZulu-Natal, South Africa).

    More information: Lucas Squillante et al, Grüneisen parameter as an entanglement compass and the breakdown of the Hellmann-Feynman theorem, Physical Review B (2023). DOI: 10.1103/PhysRevB.108.L140403

    Journal information: Physical Review B

    Provided by FAPESP




    Science Discoveries © www.scienceaq.com