• Home
  • Chemistry
  • Astronomy
  • Energy
  • Nature
  • Biology
  • Physics
  • Electronics
  • Novel 1D Superconducting Stripes at Oxide Heterostructure Interface
    Novel 1D Superconducting Stripes at Oxide Heterostructure Interface
    2DEG formed at the KTO(110) surface and transport measurements on EuO/KTO(110) interface samples. Credit: Nature Physics (2024). DOI: 10.1038/s41567-024-02443-x

    Unconventional superconducting states are states of superconductivity rooted in physical processes that do not conform with the conventional theory of superconductivity, namely Bardeen, Cooper and Schrieffer (BCS) theory. These states are characterized by close interactions between magnetism and superconductivity.

    Researchers at University of Science and Technology of China (USTC), Tsinghua University and Fudan University have recently been trying to better understand the mechanisms underlying unconventional superconductivity. Their paper, published in Nature Physics, unveiled the spontaneous emergence of a spatially varying superconducting state in an oxide heterostructure, specifically at the interface between KTaO3 and ferromagnetic EuO.

    "Our recent paper studied the unconventional superconductivity at the interface between (110)-oriented KTaO3 (KTO) and ferromagnetic EuO," Ziji Xiang from USTC, co-author of the paper, told Phys.org. "Both KTO and EuO are insulators, yet their interface in such a heterostucture hosts two-dimensional electron gas (2DEG) that becomes superconducting at low temperatures."

    The recent study by this team of researchers had two key objectives. The first was to unveil new superconducting states in in an oxide heterostructure with a ferromagnetic overlayer (i.e., EuO), The second was to explore the evolution of interface superconductivity following targeted experimental manipulations, such as changing the carrier density (ns) of the interface.

    "Our research is inspired by the idea that unconventional superconductivity usually emerges in proximity to magnetism," Xiang said. "In particular, for copper-based and iron-based high-temperature superconductors, many of the proposed superconducting pairing mechanisms are closely connected to magnetism; moreover, the interplay between magnetism and superconductivity may give birth to more peculiar phases of matter, including the pair-density-wave (PDW) order with a spatially oscillating superconducting order parameter and finite-momentum pairing which has been an intense focus of research recently."

    The EuO/KTO heterostructure examined by Xiang and his colleagues exhibits a strong ferromagnetic proximity effect elicited by the EuO overlayer. This effect makes it an ideal platform to study unconventional superconductivity.

    "The first report on the superconductivity at the EuO/KTO interface was published in 2021, focusing on the KTO (111) interface," Xiang said. "We have since worked on the EuO/KTO (110) interface (considering its improved interface quality), at which we revealed the emergence of two-dimensional superconductivity in a previous paper."

    The researchers prepared the EuO/KTO(110) heterostructures used in their experiments using a technique known as molecular-beam epitaxy. They specifically grew EuO films on top of (110)-oriented KTO single crystalline substrates.

    "By controlling the growth conditions, we were able to obtain heterostructures with different interfacial carrier density ns," Xiang said. "We then fabricated standard Hall-bar devices for conducting electrical transport measurements. The Hall-bar devices were specially designed such that the resistance of the interfacial 2DEG can be simultaneously measured for two orthogonal directions of applied electric current: on the KTO (110) surface, these two orthogonal directions are [001] and [1-10]."

    In addition to conducting transport experiments, the researchers analyzed the heterostructures using a magnetometry technique based on a scanning superconducting interference device (scanning SQUID), in collaboration with the lab led by Prof. Yihua Wang at Fudan University. This technique allowed them to characterize the magnetic properties of their samples.

    In collaboration with Prof. Zheng Liu's research group at Tsinghua University, the researchers also performed a series of first-principles calculations, to better understand their experimental observations. These calculations were aimed at outlining the electronic band structure of the interfacial 2DEG.

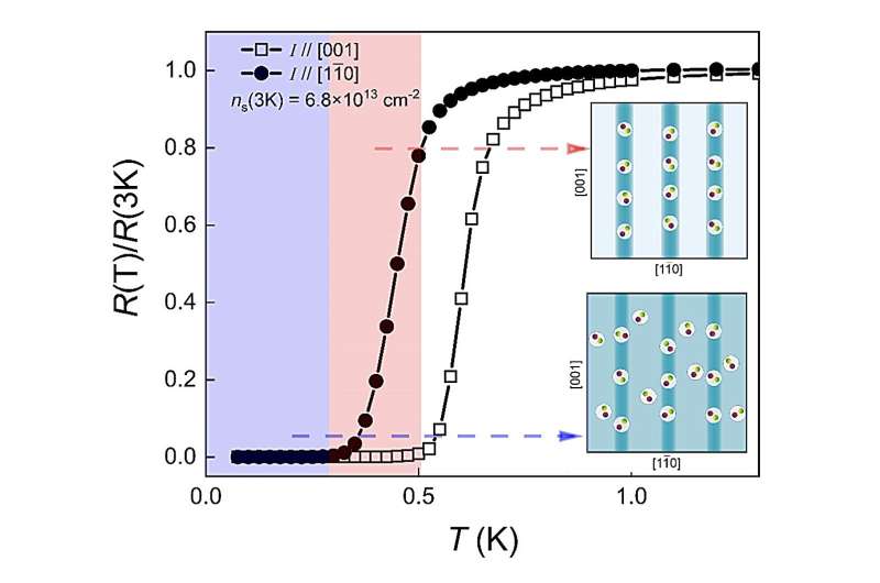
    "Firstly, our electrical transport revealed a highly unusual in-plane anisotropy of the superconducting 2DEG at the EuO/KTO(110) interface," Xiang said. "That is to say, both the transition temperature (Tc) and the upper critical field (Hc2, the magnetic field at which the superconductivity breaks down) appear to be strongly dependent on the direction of applied electric current I; with I parallel to [001], both Tc and Hc2 are higher than the case of I parallel to [1-10]. Such directional dependence is very rare among superconductors."

    Novel 1D Superconducting Stripes at Oxide Heterostructure Interface
    Sheet resistance measured on a Hall-bar device fabricated on a EuO/KTO(110) heterostructure, highlighting the distinct Tc for currents applied along in-plane [001] (hollow symbols) and [1-10] (solid symbols) directions. In the temperature range between the onsets of zero resistance for the two current directions (red shaded area), we propose that unidirectional superconducting stripes aligned along [001] emerge, with only weak coupling between them (upper inset). The global 2D superconductivity (lower inset) is established at a lower temperature (purple shaded area). Credit: Hua et al

    Scanning SQUID imaging unveiled the occurrence of two successive diamagnetic transitions in the team's samples. This suggests that the directional dependence in transport they observed does indeed stem from the sub-micrometer co-existence of two superconducting phases.

    "Based on our findings, we propose a scenario in which the superconducting phase with higher Tc is a 'stripe' phase in which one-dimensional (1D) superconducting bundles aligned unidirectionally along [001] emerge," Xiang said.

    "Coherent superconductivity is first developed within these 1D structures, giving rise to the directional-dependent Tc and Hc2. The establishment of 2D superconductivity over the whole interface occurs only at a lower temperature."

    The second central result is that the above-mentioned directional superconductivity only exists in heterostructures with low 2DEG carrier density (ns < ~8´1013 cm-2). For 2DEGs with higher ns, the Tc and Hc2 never show any current-direction dependence. Hence, the emergence of proposed superconducting stripe phase must depend on band filling.

    "Most importantly, both our experimental and theoretical investigations suggest that the 2DEG is strongly coupled to the EuO ferromagnetism only in the low-ns samples wherein the directional superconductivity is observed," Xiang said.

    "Due to this strong coupling, the electronic bands of 2DEG show pronounced spin polarization. Thereby, we conclude that the formation of superconducting stripe phase must be closely related to such enhanced ferromagnetic proximity effect."

    The recent work by Xiang and his colleagues unveils an unconventional superconducting state induced by the proximity with an oxide heterostructure. This state, marked by the spontaneous emergence of 1D superconducting stripes at a 2D interface, serves as an example of how dimensions can be reduced in superconducting states.

    "This observed phenomenon reminds us of the dimension reduction reported in copper-oxide high-temperature superconductor La2-xBaxCuO4 (x = 1/8), wherein 2D superconducting states develop in a three-dimensional system due to the interplay between superconductivity and charge/spin orders," Xiang said.

    "These 2D superconducting states have been suggested to be PDW states. So, what is the nature of the emergent superconducting stripes in our heterostructures? Are they also manifestations of a PDW order or associated with some even more exotic superconducting phases?"

    In their next studies, the researchers will try to answer these important questions. Their findings so far confirm that coupling with magnetism plays a crucial role in the realization of unconventional superconductivity.

    In the future, Xiang and his colleagues plan to investigate the superconducting stripe phase they observed further, to find out more about its underlying superconducting pairing. This could allow them to better understand how this exotic superconducting state can emerge from electronic bands with a strong spin polarization.

    "Unfortunately, the presence of EuO overlayer prevents the application of most spectroscopic probes for a direct study of the interface," Xiang added. "We have been working on the development of a technique that measures the superfluid density at the interface. By tracking the evolution of superfluid density with varying temperature, we can obtain valuable information about the primary thermodynamic properties of the superconducting stripe phase, which could be a crucial step towards a deeper understanding of the novel physics involved."

    More information: Xiangyu Hua et al, Superconducting stripes induced by ferromagnetic proximity in an oxide heterostructure, Nature Physics (2024). DOI: 10.1038/s41567-024-02443-x

    Journal information: Nature Physics

    © 2024 Science X Network




    Science Discoveries © www.scienceaq.com