• Home
  • Chemistry
  • Astronomy
  • Energy
  • Nature
  • Biology
  • Physics
  • Electronics
  • CMS Collaboration Discovers New Quark Structures in Heavy Quarks
    CMS Collaboration Discovers New Quark Structures in Heavy Quarks
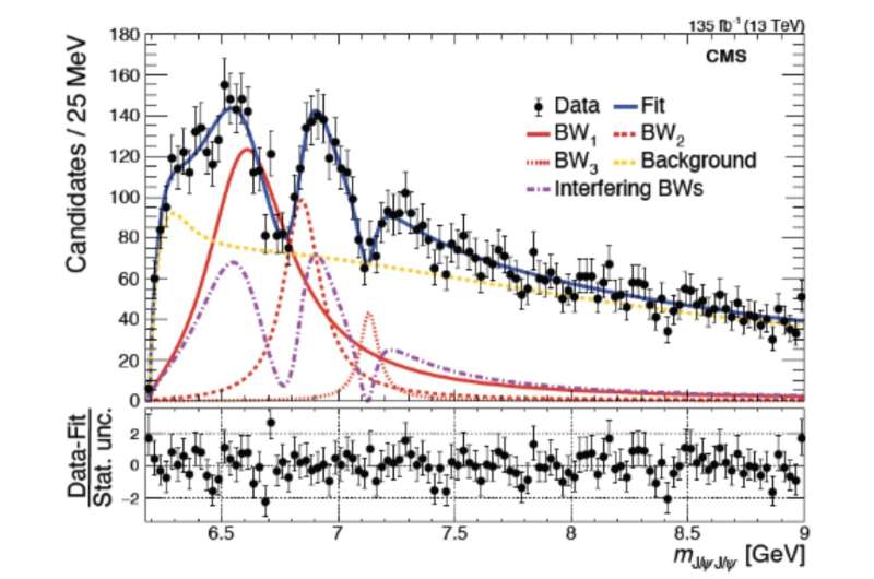
    The measured double-J/ψ mass distribution and the results of fit with three signal peaks ("BW") superimposed on a continuum background, including the effects of quantum interference ("interfering BWs") among the three states. Credit: CMS Collaboration.

    For over a decade, the CMS Collaboration, a large team of researchers based at different institutes worldwide, has been analyzing data collected at the Compact Muon Solenoid, a general-purpose particle detector at CERN's Large Hadron Collider (LHC). This large-scale international scientific collaboration has been trying to observe various elusive physical phenomena, including exotic particles and dark matter candidates.

    In a recent paper, published in Physical Review Letters, the CMS Collaboration reported three exotic all-heavy quark structures. These structures, which appear to be part of a common family, could open new interesting avenues for particle physics research.

    "Pretty much all the stuff we experience in our daily lives is made up of three particles: electrons, protons, and neutrons," Prof. Kai Yi at Nanjing Normal University and Tsinghua University, co-author of the paper, told Phys.org. "Electrons, as far as we know, are fundamental, but the other two are made up of triplets of things called quarks. The quark model of particles was proposed in 1964, and by the early 1970s there was compelling evidence of its correctness."

    The model introduced in 1964 describes quarks as closely bound particles, so strongly connected that they cannot exist alone and are instead observed only as bound quark triplets (qqq) or quark-antiquark (qq-) doublets. Physicists have identified a vast number of these closely bound quark systems, also known as "hadrons."

    "There is a huge number of these quark systems, but aside from the proton and neutron, they have only a fleeting existence," Prof. Yi explained. "The 1964 quark theory had a loophole, that maybe, just maybe, quartets and quintets of quarks might also form particles, which are referred to as 'exotic' hadrons. Physicists toyed with this possibility for decades, but it was a sort of fringe activity."

    For a long time, observing exotic hadrons appeared to be a challenging and elusive research objective. One reason for this is that available experimental tools only allowed physicists to search for exotic systems that are fully composed of light (u, d, s) quarks, which are hard to discern from normal hadrons.

    "As more powerful particle colliders became available, systems incorporating heavier (c, b) quarks came in better and better view—and the heavier the quark, and the more there are, the easier understanding the system became," Prof. Yi said. "A single charm (c) quark has a mass about one-and-a-half times that of a proton, and a bottom (b) quark is about five times heavier than a proton, whereas individual u and d quarks are less than about 0.5% of the mass of a proton."

    In 2003, a paper by the Belle Collaboration in Japan sparked new interest in exotic systems, by unveiling X(3872), which was proposed as a possible cc-qq- system (i.e., a system containing two heavy quarks). This paved the way for new studies introducing other exotic hadron candidates containing charm and even bottom quarks, hinting at the existence of tetra- and penta-quark systems.

    Despite these efforts, the internal structure of exotic hadrons remains a mystery, as reported systems include light quarks and are thus inherently difficult to model. The observation of systems made up solely of heavy quarks could thus open a new window onto exotic structures, allowing physicists to better understand the strong interactions between quarks.

    "The problem with heavy quarks is that they are hard to make," Prof. Yi said. "A step in this direction is finding systems where u or d quarks are replaced by the s quark. Although still considered a light quark, the s quark is about 40 times the mass of a u quark. In 2009 this was accomplished with the discovery of Y(4140), now called chi_c(4140), which is a candidate for a cc-ss- tetra-quark (i.e., the first exotic candidate without any of the very light (u, d) quarks)."

    CMS Collaboration Discovers New Quark Structures in Heavy Quarks
    An event display showing a X(6600) candidate decaying to a pair of J/ψ mesons, followed by their subsequent decays into pairs of electron-like muon particles. The pairs of red and blue lines are the tracks of the muon pairs from the two J/ψ candidates. Credit: CMS Collaboration.

    The discovery of chi_c(4140) encouraged more research teams to seek structures comprised fully of c and d quarks. After the existence of this system was confirmed, CMS also started searching for systems that decay into pairs of J/psi particles or pairs of Upsilon particles.

    "The J/psi is cc- bound state, the Upsilon a bb- state, and thus something decaying into these particle pairs would be a striking candidate for an all-heavy tetra-quark," Prof. Yi said. "Using data collected in 2011 and 2012 as part of LHC Run I, CMS did find a hint of two J/psi-J/psi structures, but there was not enough data to make a compelling claim at the time."

    In 2019, the CMS collaboration resumed its search for all-heavy quark systems decaying into pairs of J/psi or Upsilon particles, this time using the data collected at CERN's LHC between 2016 and 2018 (Run II). Yet the first of these particles, dubbed X(6900) was ultimately observed by another research effort at CERN, namely the LHCb experiment.

    "The LHCb experiment was the first out of the gate with their report of the X(6900) decaying to J/psi-J/psi in 2020," Prof. Yi said. "Yet CMS continued their work, and we were ultimately rewarded by identifying three J/psi-J/psi structures: confirming X(6900) and reporting two new ones, dubbed X(6600) and X(7100)."

    As part of this most recent study, the CMS team specifically searched for pairs of J/Psi mesons. These particles are a powerful probe for all-heavy quark systems, as they can be clearly identified within the LHC collider, where the environment is complex and marked by high-intensity p-p collisions.

    "For this study, the analysis team designed a search strategy in Run II based on Run I information without actually looking at the data. This approach, called a 'blind' analysis, is very effective in avoiding potential biases, such as fooling oneself into seemingly finding what one thinks one is supposed to, or wants to, find. The three structures jumped out after the new data was finally unblinded," Prof. Yi explained.

    Using this blind analysis strategy, Prof. Yi and his CMS collaborators were able to confirm the existence of the structure previously detected by the LHCb collaboration, while also unveiling two entirely new structures. These three structures appear to be part of the same family of all-heavy quark systems.

    "While it may not be the only possible interpretation, a model where the three structures quantum mechanically interfere with each other describes CMS data very well," Prof. Yi said. "This requires that all three have the same quantum properties, and further suggests that these states are a family of excited tetraquarks."

    The three all-heavy quark structures reported by the CMS collaboration offer important new clues about the nature and internal structure of exotic hadrons. Specifically, they pinpoint a new regime to which physicists can apply theory of strong interactions: the regime of "quantum chromodynamics."

    "CMS is now preparing to improve their measurements of the properties of these states," Prof. Yi added. "The new data presents a new exciting possibility, that of seeking for possible exotic states that are composed purely of the even heavier bottom quarks."

    More information: A. Hayrapetyan et al, New Structures in the J/ψJ/ψ Mass Spectrum in Proton-Proton Collisions at s=13 TeV, Physical Review Letters (2024). DOI: 10.1103/PhysRevLett.132.111901

    Journal information: Physical Review Letters

    © 2024 Science X Network




    Science Discoveries © www.scienceaq.com