• Home
  • Chemistry
  • Astronomy
  • Energy
  • Nature
  • Biology
  • Physics
  • Electronics
  • Quantum Computing Breakthrough: Compiler Acceleration Technology Developed
    Quantum Computing Breakthrough: Compiler Acceleration Technology Developed
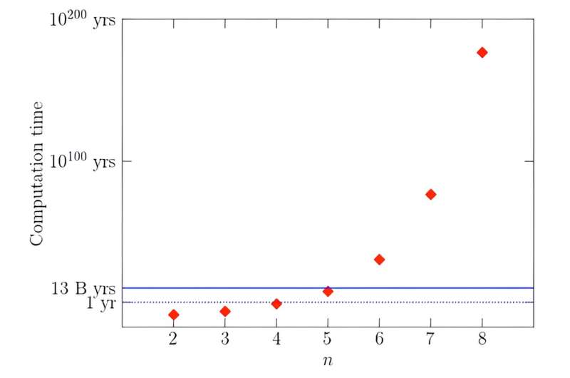
    Estimated calculation time when performing a search to optimize the fidelity F for every gate arrangement using GRAPE to prepare the state of n qubits. The solid blue line is the time from the beginning of the universe to the present (13.7 billion years). Credit: National Institute of Information and Communications Technology (NICT); RIKEN; Tokyo University of Science; School of Science, The University of Tokyo

    Researchers have succeeded in developing a technique to quickly search for the optimal quantum gate sequence for a quantum computer using a probabilistic method.

    To make a quantum computer perform a task, it must use a compiler to convert instructions written in a programming language into a sequence of gate operations on quantum bits, or qubits for short. They previously applied optimal control theory (GRAPE algorithm) to an exhaustive search to develop a method to identify the theoretically optimal gate sequence, but as the number of qubits increases, the number of possible combinations increases.

    As the number increases explosively, an exhaustive search becomes impossible. For example, if we were to perform an exhaustive search to find the optimal gate sequence for the task of generating an arbitrary quantum state of 6 qubits, it would take longer than the age of the universe using the fastest classical computer currently available.

    Therefore, the researchers attempted to develop a method to search for the optimal quantum gate sequence using a probabilistic approach and succeeded. Using the supercomputer Fugaku, it was confirmed and demonstrated that using a new probabilistic random search method, it is possible to search for the optimal quantum gate sequence for the above problem in a few hours.

    This new method is expected to speed up quantum computer compilers, become a useful tool for practical quantum computers, and lead to improved performance of quantum computer devices. It can also be applied to optimize quantum information processing at quantum relay nodes, so it is expected to contribute to the realization of the quantum Internet and the reduction of environmental impact.

    This result was published in the journal Physical Review A on May 6, 2024.

    Quantum computers, which are currently under development, are expected to have a major impact on society. Their benefits include reducing the environmental burden by reducing energy consumption, finding new chemical substances for medical use, accelerating the search for materials for a cleaner environment, etc. One of the big problems for quantum computers is that the quantum state is very sensitive to noise, so it is difficult to maintain it stably for a long time (maintaining a coherent quantum state).

    For best performance, operations must proceed within a time that allows the quantum state to remain coherent. However, apart from the special case where the number of qubits is very small, no good method has been known to find the optimal quantum gate sequence.

    A solution that avoids the difficulty of the explosive increase in the number of possible gate sequences even in large-scale quantum computations and allows efficient searches within the time and computational resources that can be performed on classical computers has been awaited.

    The research team introduced a probabilistic method to develop a systematic method that can efficiently search for the optimal quantum gate sequence within the execution time and computational resources.

    When a computer stores and processes information, all information is converted to a string of bits with values of 0 or 1. A quantum gate sequence is a computer program written in a human-readable language after it has been converted so that it can be processed by a quantum computer. The quantum gate sequence consists of 1-qubit gates and 2-qubit gates. The best sequence is the one with the fewest gates and shows the best performance.

    Their study shows the estimated calculation time when a search is performed to optimize the fidelity F on the fastest classical computer for every gate arrangement using the optimal control theory algorithm GRAPE for preparing n qubit states. The solid blue line is the so-called age of the universe (13.7 billion years). As the number of qubits increases, the number of possible combinations increases explosively, so at n=6, the total calculation time exceeds the age of the universe.

    Analysis of all possible sequences for small qubit numbers reveals that there are many optimal quantum gate sequences. This suggests the possibility of expanding to large quantum tasks and finding the optimal quantum gate sequence using a probabilistic search method rather than an exhaustive search.

    They also show the appearance rate (p) of sequences with fidelity F=1 for the preparation of a state consisting of n=8 qubits, which was investigated using the supercomputer Fugaku. The rate p is expressed as a function of the number of 2-qubit CNOT gates (N) in the sequence. It is clear that the probabilistic method is very efficient because the F=1 occurrence rate increases rapidly when the lower limit of N (N=124) is exceeded.

    For example, the appearance rate of F=1 at N=129, which is a little over N=124, is over 50%, so if you search for a gate arrangement twice, you will find a quantum sequence that has F=1 at least once on average. In this way, it has been found that by using a probabilistic method, it is possible to search for optimal quantum gate sequences several orders of magnitude faster than when searching using an exhaustive search method.

    The developed systematic and probabilistic method to provide optimal quantum gate sequences for quantum computers is expected to become a useful tool for practical quantum computers and speed up quantum computer compilers. It is expected to improve the performance of quantum computing devices and contribute to the development of quantum nodes in the quantum internet and the reduction of environmental burden.

    In the future, the research team will integrate the results obtained in this study with machine learning approaches and apply them to optimize the performance of quantum computers, aiming to further speed up quantum compilers and create a database of optimal quantum gate sequences.

    The research team includes The National Institute of Information and Communications Technology, RIKEN, Tokyo University of Science, and the University of Tokyo.

    More information: Sahel Ashhab et al, Quantum circuit synthesis via a random combinatorial search, Physical Review A (2024). DOI: 10.1103/PhysRevA.109.052605

    Journal information: Physical Review A

    Provided by National Institute of Information and Communications Technology (NICT)




    Science Discoveries © www.scienceaq.com