• Home
  • Chemistry
  • Astronomy
  • Energy
  • Nature
  • Biology
  • Physics
  • Electronics
  • Segmented Fermi Surface Revealed by Cooper Pair Momentum in Hybrid Bi2Te3 Superconductor Platform
    Segmented Fermi Surface Revealed by Cooper Pair Momentum in Hybrid Bi2Te3 Superconductor Platform

    Topography and characterization of proximitized Bi2Te3 thin films. (A) Quasiparticle dispersion around the superconducting gap without magnetic field (blue curve) and with magnetic field above B* (red curve) that induces gapless superconducting state (for parabolic dispersion B* ~ Δ/evλL, with e the electron charge, and v the Fermi velocity). (B) Schematic depiction of a segmented Fermi surface that arises owing to magnetic field B along x axis. Solid red lines indicate electron-dominated states, whereas dashed red lines show holedominated states. The pink line indicates the Fermi surface of the normal state. (C) Structure of the samples with few quintuple layers of Bi2Te3 on top of NbSe2. An external in-plane magnetic field Bext induces perpendicular screening supercurrent and Cooper pair momentum q. Insets show the topography of a large area (320 × 320 nm2) of the thin film with regions of varying thickness and an atomic resolution image (10 × 10 nm2) of Bi2Te3 lattice. White rectangle indicates the area where the dI/dV maps in Fig. 3 are measured. (D) Wide energy range differential conductance dI/dV spectra taken across the yellow line cut in (C). The set point is 0.1 V, 0.5 nA. CBM (VBM) stands for the conduction band minimum (valence band maximum) of the Bi2Te3 bulk bands. (E) The proximity induced superconducting gap along the same line cut as in (C). The set point is 2.5 mV, 0.5 nA. From the position of the coherence peaks we determine superconducting gap Δ ≈ 0.5 meV. All STM measurements are conducted at a temperature of 40 mK. Credit: Science, doi:10.1126/science.abf1077

    In a new report now published in Science, primary authors Zhen Zhu, Michal Papaj, and an international research team in physics, materials science, and condensed matter at the Jiao Tong University, China, Massachusetts Institute of Technology, U.S., and the Chinese Academy of Sciences discovered the Fermi surface of supercurrent-induced quasiparticles in a superconducting system for the first time. This discovery comes 50 years after the initial theoretical prediction was made by physicist Peter Fulde and revealed the impact of the finite Cooper pair momentum on the quasiparticle spectrum. In condensed matter physics, Cooper pairs are a pair of electrons with opposite spins loosely bound due to electron-lattice interactions. Superconductivity is based on their condensation to Bosonic states at low temperatures. The interplay of superconductivity and magnetic fields leads to the phenomenon of a 'segmented Fermi surface." A leading author of this work, MIT Professor of Physics Liang Fu, outlined the significance of this discovery.

    Supercurrent flow in a superconductor

    Physicists assume that a sufficiently large supercurrent can close the energy gap in a superconductor and create gapless quasiparticles via the Doppler shift of quasiparticle energy. This is facilitated by the finite momentum of Cooper pairs in the presence of supercurrent flow in a superconductor, where the shift in Cooper pair momentum can result in a Doppler shift. In this work, Zhu et al. used quasiparticle interference to image the field-controlled Fermi surface of bismuth telluride (Bi2Te3) thin films proximitized by the superconductor niobium diselenide (NbSe2). A small applied in-plane magnetic field induced a screening supercurrent, which led to finite momentum pairing on the topological surface states of Bi2Te3. The scientists identified distinct interference patterns to indicate a gapless superconducting state with a segmented Fermi surface to reveal the strong impact of the finite Cooper pair momentum on the quasiparticle spectrum. We asked Liang Fu at the Department of Physics at MIT, who led this research, to describe the significance of their work and how they arrived at this breakthrough, 50 years after its theoretical prediction. "It started with a purposeful search that, with some luck, led to a pleasant surprise" he said. "For a while I had the idea of creating zero-energy quasiparticles by applying a parallel magnetic field to a superconductor coated with a layer of topological insulator. These quasiparticles could be used to construct Majorana fermions and topological qubits."

    Evolution of the quasiparticle Fermi surface as a function of energy calculated. This
    Using a hybrid material platform to detect supercurrent-induced quasiparticles

    During the study, the team showed how the Cooper pair momentum resulted in a Doppler shift of the energy. The Doppler shift then changed the energy of the quasiparticles that moved parallel or antiparallel to the supercurrent in the setup, without affecting quasiparticles moving in the perpendicular direction, to result in anisotropic quasiparticle energy dissipation. In condensed matter physics, a Bogoliubov quasiparticle or Bogoliubon is a quasiparticle that occurs within superconductors with elementary excitation above the ground state. To detect segmented Fermi surface of Bogoliubov quasiparticles, they used spectroscopic methods with both energy and momentum resolution. Typically, a supercurrent often larger than the de-pairing current is required to close the superconducting gap. To overcome the difficulty of this approach, Zhu et al. used an alternative approach—a hybrid material platform.

    Liang Fu further described their platform: "My collaborator Jinfeng Jia, a world expert of scanning tunneling microscopy, was willing to give it a try [to detect the quasiparticles]. It turns out this material platform worked out beautifully, with a surprisingly small magnetic field—much smaller than originally expected." Instead of passing a transport current directly through a superconductor, the team applied a small external magnetic field to produce a screening current near the surface through the Meissner effect. The platform of choice contained a thin film of Bi2Te3, a quintessential topological insulator grown via molecular beam epitaxy on top of a bulk crystal NbSe2—an S-wave superconductor. This setup provided an ideal platform to observe the formation of segmented Fermi surface. Liang Fu further described the nuance of this strategy to detect quasiparticles. "We later realized that the quasiparticles we saw are actually produced by the screening current flowing on the surface of the superconductor. The possibility of supercurrent-induced quasiparticles was first predicted by Peter Fulde over 50 years ago, but it was previously thought that to observe this effect requires a current so large as to destroy superconductivity. In hindsight, our experiment succeeded because this effect is amplified in the topological insulator film (bismuth telluride) that is proximitized by the superconductor (niobium diselenide)."

    Segmented Fermi Surface Revealed by Cooper Pair Momentum in Hybrid Bi2Te3 Superconductor Platform

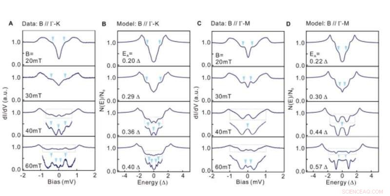
    Density of states on the Bi2Te3/NbSe2 surface under in-plane magnetic field. (A) Differential conductance dI/dV spectra and (B) theoretical density of states curves for increasing magnetic field along the ΓK direction. (C) Differential conductance dI/dV spectra and (D) theoretical density of states curves for increasing magnetic field along the ΓM direction. For both (A) and (C) the spectra are acquired at set point of 2.5 mV and 0.5 nA, and temperature of 40 mK. The characteristic energy scale for theoretical calculations is E evA A xy = , , with e the electron charge, v the Fermi velocity, and Ax y, the magnetic vector potential (22). The arrows indicate the in-gap features attributed to pockets of segmented Fermi surface. Credit: Science, doi:10.1126/science.abf1077

    Segmented Fermi Surface Revealed by Cooper Pair Momentum in Hybrid Bi2Te3 Superconductor Platform

    Real and momentum space quasiparticle interference patterns for 6 different orientations of the in-plane magnetic field. (A to C) dI/dV maps depicting the real space QPI patterns. (D to F) The Fourier transforms of corresponding dI/dV maps, each displaying two bright segments. The arrows represent the magnetic field along ΓK directions. (G to I) As in (A to C), but with magnetic field oriented along ΓM directions. (J to L) Fourier transforms of (G to I), which display four bright segments. All the data was collected within the same area of 120 × 120 nm2, at bias voltage of 0 mV, temperature of 40 mK, and under in-plane magnetic field of 40 mT. Credit: Science, doi:10.1126/science.abf1077

    Characterizing the material platform.

    Zhu et al. then presented the topography of the thin film and obtained the atomic resolution of the Bi2Te3 lattice to demonstrate its high quality. Near the Fermi level they observed a hard, U-shaped superconducting energy gap at zero magnetic field. The team then applied an in-plane magnetic field to the thin film to investigate its gapless superconducting state by measuring the differential conductance. The observed in-gap features were a consequence of supercurrent induced quasiparticles. The team calculated the evolution of spectral function at energies around the Fermi level with the field. When asked about the impact of preceding research work that influenced this outcome, Liang Fu noted that "a lot influenced the outcome. I have worked for a long time on theory of topological superconductors and collaborated with Jinfeng Jia on related experiments. This kind of close collaboration between theory and experiment is essential to our success. Of course, the early theoretical works by Peter Fulde and Grigory Volovik are very important: They helped us see the big picture. The existence of zero-energy quasiparticles we discovered is by no means limited to proximitized topological insulators." The team thereafter detected the segmented Fermi surface directly within the momentum space by scanning the constant energy local density of states across the whole region of interest to obtain quasiparticle interference patterns.

    Segmented Fermi Surface Revealed by Cooper Pair Momentum in Hybrid Bi2Te3 Superconductor Platform

    Quasiparticle interference patterns of segmented Fermi surface. (A) QPI at zero magnetic field outside of the superconducting gap. The six bright segments correspond to scattering between the tips of the normal state Fermi surface. (B) QPI at B = 40 mT along ΓK at V = 0 mV. The two bright segments correspond to vertical scattering between the tips of the star indicated in (H). (C) QPI at B = 40 mT along ΓM at V = 0 mV. The four bright segments correspond to diagonal scattering between the tips of the star indicated in (I). (D to F) Numerical simulations (22) for QPI in hexagonally warped disordered Dirac surface state corresponding to the magnetic fields as in (A to C). (G to I) Spectral function displaying Fermi surface contours corresponding to the magnetic fields as in (A to C). Credit: Science, doi:10.1126/science.abf1077

    Outlook

    In this way, Zhen Zhu, Michal Papaj and colleagues led by Liang Fu revealed the strong impact of Cooper pair momentum caused by screening supercurrent on quasiparticle energy dissipation. The observation of segmented Fermi surface of Bogoliubov quasiparticles opens the way for further scanning tunneling microscopy studies of pair density wave and the formation of Cooper pairs with non-zero total momentum. When asked about the practical impact of these research outcomes, Liang Fu said, "It is too early to tell, but I can think of some possibilities. The quasiparticles we discovered could provide a potentially advantageous way to make topological qubits, which was my original motivation. These quasiparticles move freely and transport heat in a superconductor which is otherwise a poor thermal conductor. So, it seems to me that the ability of producing quasiparticles from electrical current may also enable a heat transistor controlling the flow of heat electrically."

    Science Discoveries © www.scienceaq.com