• Home
  • Chemistry
  • Astronomy
  • Energy
  • Nature
  • Biology
  • Physics
  • Electronics
  • Physicists Reveal the Science Behind Synchronization—from Fireflies to Stadium Cheers
    Physicists Reveal the Science Behind Synchronization—from Fireflies to Stadium Cheers

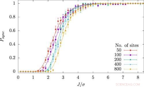
    Figure 1. Probability of synchronization of chains of condensates of varying lengths, determined by solving Eq. (3) with α=1. Each probability is estimated from 100 disorder realizations, each simulated up to a time tσ=1.8×104. The curves are fits to the Gumbel distribution. Credit: DOI: 10.1103/PhysRevResearch.3.043092

    Physicists from Trinity have unlocked the secret that explains how large groups of individual "oscillators"—from flashing fireflies to cheering crowds, and from ticking clocks to clicking metronomes—tend to synchronize when in each other's company.

    Their work, just published in the journal Physical Review Research, provides a mathematical basis for a phenomenon that has perplexed millions—their newly developed equations help explain how individual randomness seen in the natural world and in electrical and computer systems can give rise to synchronization.

    We have long known that when one clock runs slightly faster than another, physically connecting them can make them tick in time. But making a large assembly of clocks synchronize in this way was thought to be much more difficult—or even impossible, if there are too many of them.

    The Trinity researchers work, however, explains that synchronization can occur, even in very large assemblies of clocks.

    Dr. Paul Eastham, Naughton Associate Professor in Physics at Trinity, said:

    "The equations we have developed describe an assembly of laser-like devices—acting as our 'oscillating clocks'—and they essentially unlock the secret to synchronization. These same equations describe many other kinds of oscillators, however, showing that synchronization is more readily achieved in many systems than was previously thought.

    "Many things that exhibit repetitive behavior can be considered clocks, from flashing fireflies and applauding crowds to electrical circuits, metronomes, and lasers. Independently they will oscillate at slightly different rates, but when they are formed into an assembly their mutual influences can overcome that variation."

    This new discovery has a suite of potential applications, including developing new types of computer technology that uses light signals to process information.

    Science Discoveries © www.scienceaq.com