• Home
  • Chemistry
  • Astronomy
  • Energy
  • Nature
  • Biology
  • Physics
  • Electronics
  • Quantum Field Theory: The Foundation of Everyday Reality
    Quantum Field Theory: The Foundation of Everyday Reality

    The view into the Echo Chamber created and designed by artist Jamie Hamilton at the Santa Fe Institute in Santa Fe, New Mexico. Credit: Michael Clark

    The laws of physics underlying everyday life are, at one level of description, completely known, and can be summarized in a single elegant—if quite complex—equation. That's the claim physicist Sean Carroll, an SFI Fractal Faculty member and External Professor, makes in a recent paper.

    Objects in our everyday world—people, planets, puppies—are made up of atoms and molecules. Atoms and molecules, in turn, are made of elementary particles, interacting via a set of fundamental forces. And these particles and forces are accurately—and completely, Carroll argues—described by the principles of quantum field theory, in a model known as the "Core Theory." All the things we humans experience in our day-to-day lives—the warmth of sunlight, the gravitational pull of the Earth, the kinetic energy required to move our bodies through space—are beholden to and can be explained by Core Theory.

    Don't worry that physicists will soon be out of their jobs, though. The Theory of Everything is not yet in our hands. We will undoubtedly discover new particles and new forces, and perhaps even phenomena that are completely outside the domain in which our current understanding of physics operates. If we push beyond our ordinary world into black holes and other aspects of quantum gravity, there are indications that quantum field theory might not be the right framework to describe them. Similarly, it may not suffice to explain conditions in the early universe, or near neutron stars or black holes, or phenomena such as dark matter and dark energy that don't interact noticeably with human beings under ordinary circumstances.

    Quantum Field Theory: The Foundation of Everyday Reality

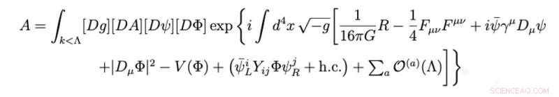
    Core Theory, Equation 7 from the paper "The Quantum Field Theory on Which the Everyday World Supervenes." Credit: Santa Fe Institute

    But Carroll argues that none of the discoveries needed to explain such phenomena will alter our understanding of the physics that affects our everyday lives.

    Assuming Carroll's claim is correct, it has a number of immediate implications. It means there is no life after death, as the information in a person's mind is encoded in the physical configuration of atoms in their body, and there is no physical mechanism for that information to be carried away after death. The problems of consciousness must ultimately be answered in terms of processes that are compatible with this underlying theory. And while historically, discoveries of new particles and forces have spurred technological innovations, Core Theory means that won't happen going forward, since those discoveries won't be at a level to impact our everyday lives.

    Carroll admits that he can't give an airtight proof for this, which would be essentially impossible. But his arguments, he says, highlight the challenge faced by those who think something beyond the Core Theory is required. He notes that the dynamics summarized by the equation of the Core Theory are "well-defined, quantitative, and unyielding, not to mention experimentally tested to exquisite precision in a wide variety of contexts. . . . Skeptics of the claim defended here have the burden of specifying precisely how that equation is to be modified. This would necessarily raise a host of tricky issues."

    Science Discoveries © www.scienceaq.com