• Home
  • Chemistry
  • Astronomy
  • Energy
  • Nature
  • Biology
  • Physics
  • Electronics
  • Exploring Band Crossovers & Magnetic Phase Diagram in Superconducting Ba2CuO4-δ
    Exploring Band Crossovers & Magnetic Phase Diagram in Superconducting Ba2CuO4-δ

    Fig. 1. An effective interaction mediated by exchanging an antiferromagnetic paramagnon. Credit: Bai Xiaocheng

    Researchers led by Prof. Zou Liangjian from the Hefei Institutes of Physical Science (HFIPS) of the Chinese Academy of Sciences (CAS) have recently investigated the magnetic phase diagram of the high-Tc (critical temperature) superconducting compound Ba2CuO4-δ and its superconducting pairing symmetry based on the spin-fluctuation mechanism. Results were published in Physical Review B.

    It is well-known that two electrons in vacuum repulse each other. However, in superconductors, two electrons near the Fermi surface form a Cooper pair by exchanging bosonic quasi-particles. These Cooper pairs with the same phase condensate the superfluid with zero resistivity. The pairing symmetry of Cooper pairs is an important feature for uncovering effective pairing interaction in superconductors.

    A newly discovered cuprate superconductor Ba2CuO4-δ featured on high-Tc of 73 K, about two to three times higher than isostructural conventional cuprate La2CuO4-δ. Also, it displays compressed CuO6 octahedra, which is inverted to the CuO6 octahedra or CuO5 pyramids in the parent phases of conventional cuprates. This results in multiple orbitals contributing to superconducting properties in Ba2CuO4-δ.

    The phase diagrams of the previous cuprates superconductors showed antiferromagnetism in close proximity, or in some cases coexisting, with superconductivity. Hence, it is proposed that the effective pairing interaction is mediated by spin fluctuation in the cuprates superconductors. To understand which mechanism contributes the effective pairing interaction in Ba2CuO4-δ, it is crucial to investigate the magnetic phase diagram of it.

    Exploring Band Crossovers & Magnetic Phase Diagram in Superconducting Ba2CuO4-δ

    Fig. 2. The magnetic phase diagrams of Ba2CuO4-δ at U = 2 eV (a) and U = 4 eV (b). Credit: Bai Xiaocheng

    In this work, using the rotationally invariant slave boson (RISB) method, the researchers investigated the magnetic phase diagram of the high-Tc superconducting compound Ba2CuO4-δ. They also studied the superconducting pairing symmetry in its based on the spin-fluctuation mechanism within random phase approximation.

    The results showed that in the intermediate correlation regime (U ~ 2 eV), the system behaved as single-band paramagnetic metal when n > 2.4, and had only one antiferromagnetic insulating parent phase.

    In the strongly correlated regime (U > 4 eV) the system displayed two different antiferromagnetic insulating parent phases at n = 2 and 3, corresponding to two-band and single-band nature, respectively.

    Comparing the experimental spin coupling value of about 150 meV with the total-energy difference between the Néel antiferromagnetic and paramagnetic phases, the researchers estimated that U ≈ 2~3 eV in Ba2CuO3.2.

    Exploring Band Crossovers & Magnetic Phase Diagram in Superconducting Ba2CuO4-δ

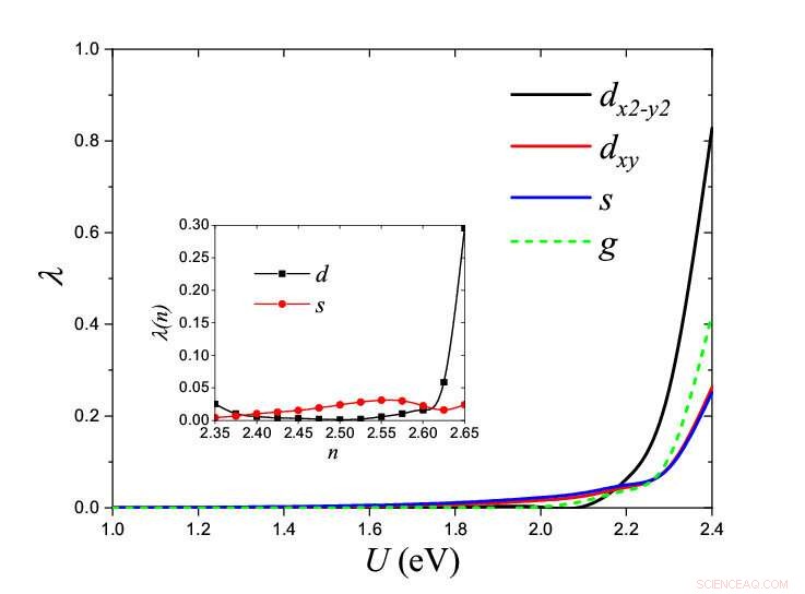
    Fig. 3. The pairing strength λ of Ba2, CuO4-δ with δ = 0.8. Inset shows pairing strength λ for different doping at U = 2 eV. Credit: Bai Xiaocheng

    They further studied the superconducting pairing symmetry in its based on the spin-fluctuation mechanism and found that the pairing strengths of s-wave and d-wave are nearly degenerate.

    Results suggests that Cooper pairs in Ba2CuO3.2 are s+d –wave symmetric.

    It's the first time that scientists theoretically illustrated the magnetic phase diagram of Ba2CuO4-δ, which suggested that Cooper pairs in Ba2CuO3.2 were s+d –wave symmetric provided that the effective pairing interaction is mediated by spin fluctuations. + Explore further

    Polarized neutron scattering reveals preferred spin excitations in bilayer iron-based superconductor




    Science Discoveries © www.scienceaq.com