• Home
  • Chemistry
  • Astronomy
  • Energy
  • Nature
  • Biology
  • Physics
  • Electronics
  • Noble‑Gas Spin Amplification via Spin‑Exchange Collisions: Experimental Confirmation and Frequency‑Response Analysis
    Noble‑Gas Spin Amplification via Spin‑Exchange Collisions: Experimental Confirmation and Frequency‑Response Analysis

    The frequency-response of the 87Rb magnetometer to oscillating fields along y, assisted with 129Xe spin-based amplifier. The experimental data (red circles) are obtained by scanning the auxiliary field frequencies. The solid line is the theoretical fit of the data and agrees well with the experiment. (b) The measured amplification factor at different resonance frequencies. The average is measured to be ≈ 128 ± 0.3. Credit: Science China Press

    This study was led by Prof. Xinhua Peng and Prof. Min Jiang who have been devoted to developing spin-based quantum technologies for the detection of weak magnetic fields for many years.

    The researchers used a vapor cell containing spatial overlapping nuclear spins of noble gas (e.g., xenon-129) and atomic spins of alkali-mental atoms (e.g., rubidium-87) to establish ultrasensitive quantum sensors for the detection of weak magnetic fields.

    For the first time, they found that the nuclear spins can act as a pre-amplifier that effectively enhances a coherently oscillating measured magnetic field by at least two orders of magnitude.

    Noble‑Gas Spin Amplification via Spin‑Exchange Collisions: Experimental Confirmation and Frequency‑Response Analysis

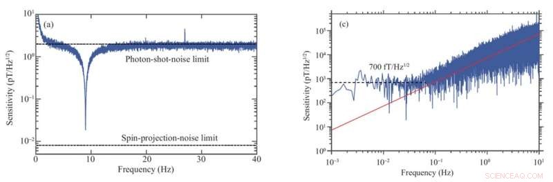
    Magnetic sensitivity of the spin-amplifier-based magnetometer. 18 fT/Hz1/2 is achieved at 129Xe Larmor frequency, which is beyond the photon-shot-noise limit and comparable to the spin-projection-noise limit of the 87Rb magnetometer itself. (c) Magnetic sensitivity of the Floquet-maser-based magnetometer. 700 fT/Hz1/2 is achieved and is currently the best sensitivity. Credit: Science China Press

    They showcased the capability of the spin-based amplifier to surpass the photon-shot-noise limit of the rubidium magnetometer itself, approaching the spin-projection-noise limit of the latter. This discovery encouraged them to achieve an ultrahigh magnetic sensitivity of femtotesla level, which has a significantly better performance than that of other magnetometers demonstrated with nuclear spins limited to the sensitivity of a few picotesla.

    Then, they extended spin amplification in the Floquet system, which can simultaneously enhance and measure multiple magnetic fields with at least one order of magnitude improvement, offering the capability of femtotesla-level measurements. Moreover, they developed a novel "Floquet maser" on this hybrid system of nuclear and atomic spins, which enables femtotesla-level Floquet maser magnetometry for ~mHz ultralow frequency. The achieved magnetic sensitivity reaches ~700fT/Hz1/2 below 60mHz, which is so far the highest magnetic sensitivity in the millihertz range.

    Noble‑Gas Spin Amplification via Spin‑Exchange Collisions: Experimental Confirmation and Frequency‑Response Analysis

    The spin amplification technique has been demonstrated to search for ALP signals in the frequency range from 2 to 180 Hz, corresponding to the ALP mass range from 8.3 to 744 feV. (a) Limits on the axion-like dark matter-nucleon coupling gaNN. (b) Limits on dark photon-nucleon coupling gdEDM. Credit: Science China Press

    These techniques will enable laboratory-scale "tabletop" experiments to explore the frontiers of fundamental physics. New particles and forces can generate an exotic magnetic field oscillating at its Compton frequency on the nucleus (e.g., xenon), which can be amplified and then detected by this quantum sensor with spin amplification.

    They conducted a series of experiments, and the achieved constraints on the strengths of these exotic interactions are substantially better than the previous laboratory ones. For example, for ultralight axion-like dark matter, they improve the previous laboratory constraints by at least five orders of magnitude, and for the first time, the new constraint exceeded bounds from astrophysical observations. For spin-dependent interactions mediated by axions and other new light bosons, they improved previous limits by up to two orders of magnitude.

    These techniques and applications, as an interesting marriage of quantum sensing techniques and the test of fundamental physics (traditionally in particle physics), are appealing to general physicists. In the future, the spin amplification techniques will progress dramatically over the coming years and shed new light on applications from quantum metrology, investigation of the dynamics of the geomagnetic fields, and quantum information processing, to probing new physics beyond the standard model.

    The research was published in Science China Information Sciences. + Explore further

    New spin amplifier accelerates search for dark matter




    Science Discoveries © www.scienceaq.com