List (left) and MacMillan (right) are winners of the 2021 Nobel Prize for Chemistry. Credit: NobelPrize.org, CC BY-SA
Benjamin List and David MacMillan, respectively from Germany and the US, will share the 10 million Swedish kronor (£870,000) Nobel prize in chemistry 2021 for their development of "organocatalysis"—a precise tool for constructing molecules which has boosted pharmaceutical research and made chemistry greener and cheaper.
Their research dates back to 2000, when the chemists independently developed the first steps of what today is called "asymmetric organocatalysis," which is the activation of chemical reactions by small organic molecules.
Many technologies and areas of research rely on molecules that have to be created in chemical reactions. These can, unfortunately, be very slow, which is why chemists often use catalysts—materials that speed up chemical reactions. Before the work of List and MacMillan, there were only two types of catalysts available: metals or enzymes. In my opinion, the duo's most important achievement was spotting something that nobody believed possible: that small organic molecules such as amino acids could also work as catalysts.
Huge benefits
This discovery enabled the pair to create "asymmetric reactions." In chemical reactions, many molecules are produced in two versions that are mirror images of each other (a property called chirality). This is annoying when you only want one of them, which is often the case in the pharmaceutical industry.
Thalidomide tablets. Credit: Stephencdickson/wikipedia, CC BY-SA
In fact, this is what went wrong with the drug thalidomide, which was developed in the 1960s to reduce morning sickness in pregnant women, but ended up leading to fetus malformations. The drug was an equal mixture of both types of molecule, but it turned out that while one was effective, its mirror image counterpart was toxic. The beauty of organocatalysis is that you can produce a specific molecule without its mirror cousin.
The possibility of avoiding using metals as catalysts in chemical reactions has also made it easier for pharmaceutical companies to purify compounds. This is an important final step in the manufacturing of pharmaceuticals, and involves the removal of dangerous chemicals, including certain metal catalysts.
Another major improvement of organocatalysis compared with other types of catalysis is that it is easy to carry out: you can do it at room temperature under simple conditions. It is also easier to reliably predict and control the outcomes than it is with other types of catalysis.
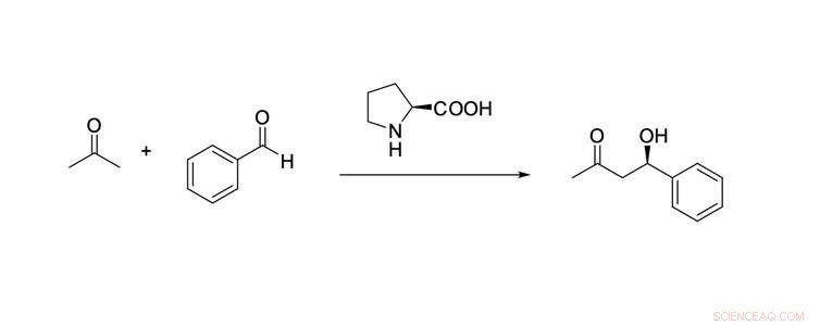
What's more, metal catalysts such as palladium or rhodium can be expensive. An extremely beautiful example of a cheaper alternative is proline, a simple amino acid that is often used as an organocatalyst, which is so efficient that it has entirely substituted certain expensive and complex metal catalysts.
The kind of reaction that the researchers invented. If you take ketone and aldehyde, on the left, and add a proline catalyst (in the middle above the arrow), this generates the aldol (on the right, which is aldehyde and alcohol). Author provided
Organocatalysis isn't only a cheaper alternative, it is also more environmentally friendly, typically containing common and abundant elements such as oxygen, nitrogen, sulfur or phosphorus rather than irdium or palladium.
List and MacMillan soon become the leaders of this pioneering new chemistry, developing more and more reactions and catalysts, and envisioning new ways of expanding the field. One of the most important aspects of this work was how readily it changed the attitudes of so many organic chemists, who turned their attention to organocatalysis and embraced it. This meant that chemists in many different areas of research were able to synthesize complex molecules, which made the field grow exponentially.
I had the incredible honor to work with List at the Max-Planck-Institut für Kohlenforschung in Mülheim, Germany at the beginning of this new field (2004-06), while I was a post-doctoral researcher. I saw with my own eyes how dramatically the field grew to become very popular among chemists around the world. I also saw how List had a vision that distinguished him from other chemists: he really believed in his work and he pushed the boundaries of catalysis—fundamentally changing it forever.
I can only felicitate List and MacMillan on their well deserved award—they have inspired the career of so many chemists, including me.
This article is republished from The Conversation under a Creative Commons license. Read the original article.