• Home
  • Chemistry
  • Astronomy
  • Energy
  • Nature
  • Biology
  • Physics
  • Electronics
  • Pepsin‑Degradable Bio‑Nylons: Sustainable Plastics from Itaconic Acid and Amino Acids
    Pepsin‑Degradable Bio‑Nylons: Sustainable Plastics from Itaconic Acid and Amino Acids

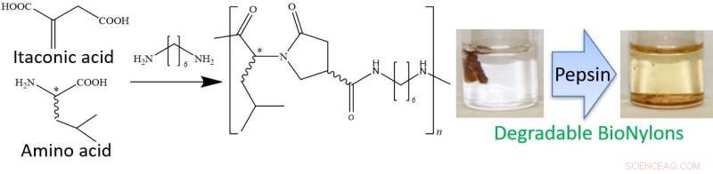
    Figure 1. Development strategy for pepsin degradable BioNylons from itaconic acid and leucine. Credit: Tatsuo Kaneko and Mohammad Asif Ali from JAIST

    Currently available conventional nylon such as nylon 6, nylon 66, and nylon 11 are nondegradable. On the other hand, bio-nylons derived from itaconic acid showed higher performance than conventional ones and are degradable in soil, but degradability via digestive enzymes was not confirmed.

    To tackle these issues, a team of researchers from the Japan Advanced Institute of Science and Technologies (JAIST) are investigating syntheses of new bio-nylons with their degradability via pepsin enzyme. Their latest study, published in Advanced Sustainable Systems on April 2021, was led by Professor Tatsuo Kaneko and Dr. Mohammad Asif Ali.

    In this study, bio-nylons were synthesized based on chemically developed novel chiral dicarboxylic acids derived from renewable itaconic and amino acids (D- or L-leucine). Further, bio-nylons were prepared via melt polycondensation of hexamethylenediamine with chirally interactive heterocyclic diacid monomers, as shown in Figure 1.

    The chiral interactions were derived from the diastereomeric mixture of the racemic pyrrolidone ring and the chiral amino acids of leucine. As a result, the polyamides showed a glass transition temperature, Tg, of approximately 117 degrees C and a melting temperature, Tm, of approximately 213 degrees C, which were higher than those of conventional bio-nylon 11 (Tg of approximately 57 degrees C). The bio-nylons also showed high Young's moduli, E, and mechanical strengths, σ, ranging from 2.2–3.8 GPa and 86–108 MPa, respectively.

    Such materials can be used as a substitute for conventional nylons for fishing nets, ropes, parachutes and packaging materials. The bio-nylons including peptide linkage showed enzymatic degradation using pepsin, which is a digestive enzyme found in the mammal stomach. Pepsin degradation can connect with biodegradation in the stomach of marine mammals. This innovative molecular design for high-performance nylons by controlling chirality could contribute to sustainable, carbon-negative industry and energy conservation by weight savings.


    Science Discoveries © www.scienceaq.com