• Home
  • Chemistry
  • Astronomy
  • Energy
  • Nature
  • Biology
  • Physics
  • Electronics
  • Recyclable Thermoset Polymer Created from Amine and Triketone Precursors
    Recyclable Thermoset Polymer Created from Amine and Triketone Precursors

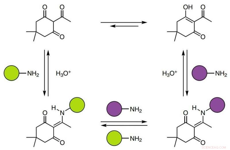
    Reversible, dynamic covalent diketoenamine bonds. Diketoenamine bonds form spontaneously from triketones and both aromatic and aliphatic amines. Under strongly acidic conditions in water, the diketoenamine bond hydrolyses to the triketone and an ammonium salt. Credit: Nature Chemistry (2019). DOI: 10.1038/s41557-019-0249-2

    A team of researchers at Lawrence Berkeley National Laboratory has devised a way to make a type of recyclable thermoset plastic. In their paper published in the journal Nature Chemistry, the group describes combining two particular types of monomers to form a common type of polymer that can be recycled using an acid. Coralie Jehanno and Haritz Sardon with the University of the Basque Country UPV/EHU have published a News and Views piece outlining the work by the team in California in the same journal issue.

    Plastics have become an environmental problem. Companies make them and use them in a wide variety of applications. Other businesses and consumers make use of the plastics and then discard them. But because they do not degrade very rapidly, they are building up in landfills and the ocean. One particular polymer, known as a thermoset, is particularly troublesome because it is widely used and does not recycle easily. In this new effort, the researchers report a way to make a type of thermoset that can be broken down into its component parts using an acid and then recycled.

    To come up with the right ingredients, the researchers looked for monomers they could use in a closed-loop cycle (in which the monomer building blocks are recovered) as part of recycling. They finally landed on the monomers amine and triketone. The researchers found they could use them to make a thermoset polymer simply by grinding the two together. Further work showed that if the polymer was soaked in a strong acid for 12 hours, the diketoenamine bonding network would release its bonds, separating the monomers. Next, they found the monomers could be separated and collected using an operationally simple procedure and then reused to make new thermosets that were nearly identical in nature to the original they had made.

    Recyclable Thermoset Polymer Created from Amine and Triketone Precursors

    Unlike conventional plastics, the monomers of PDK plastic could be recovered and freed from any compounded additives simply by dunking the material in a highly acidic solution. Credit: Peter Christensen et al./Berkeley Lab

    The researchers then tested their technique in conditions with other materials in the resultant polymer, such as fiberglass or flame retardants. They report that such additives did not prevent the recovery of the monomers or contaminate the new thermosets that were made from them. They also note that much more testing of their technique is required to make sure the thermosets are safe to use and that they do not create other environmental problems.

    © 2019 Science X Network




    Science Discoveries © www.scienceaq.com