• Home
  • Chemistry
  • Astronomy
  • Energy
  • Nature
  • Biology
  • Physics
  • Electronics
  • Monoterpene Emissions from Cleaning Products: Research Highlights Regulatory Needs
    Monoterpene Emissions from Cleaning Products: Research Highlights Regulatory Needs
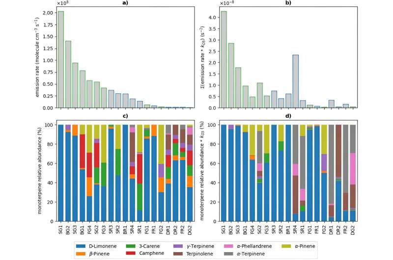
    (a) Estimated total monoterpene emission rates per product, as determined from SIFT-MS measurements (green edge bars = green cleaners, blue edge bar = regular cleaners). (b) The relative abundance (%) of monoterpenes determined from GC-MS analysis used to speciate the total monoterpene emission rates. (c) The sum of the monoterpene emission rates scaled to the monoterpene O 3 rate coefficient per product. (d) The relative abundance (%) of monoterpenes scaled to their respective O 3 rate coefficients. Credit: Environmental Science: Processes & Impacts (2024). DOI: 10.1039/D3EM00439B

    Many cleaning products labeled as "green" emit just as many harmful chemicals as regular products, new research has revealed.

    Researchers say there needs to be better regulation and more guidance for consumers about how safe cleaning products really are. The study, published in the journal Environmental Science: Processes & Impact, found that fragranced cleaning products can be potentially harmful to air quality in people's homes.

    Cleaning products emit a wide range of volatile organic compounds (VOCs), including some that are hazardous or can undergo chemical transformations to generate harmful secondary pollutants. In recent years, "green" cleaners have become increasingly popular, with an implicit assumption that these are better for our health and the environment. However, the University of York research found this was not the case.

    As part of the study, the VOC composition of 10 regular and 13 green cleaners was examined by researchers. Green cleaners generally emitted more monoterpenes than regular cleaners, increasing harmful secondary pollutant concentrations following use, such as formaldehyde and peroxyacyl nitrates.

    The study found that the fragrance ingredients of these products were the source of the volatile monoterpenes. As levels of these types of pollutants increase in the home, susceptible people can develop breathing problems or irritation of the eyes, nose, throat, or skin. Repeated exposure to high concentrations of formaldehyde can possibly lead to cancer in some cases.

    Misleading consumers

    Ellen Harding-Smith, Environmental Chemistry researcher from the Department of Environment & Geography, said, "Our research found there is no strong evidence to suggest that clean green products are better for indoor air quality compared to regular products."

    "In fact, there was very little difference. Many consumers are being misled by the marketing of these products, which could be damaging the air quality in their homes as a result—potentially putting their health at risk. For so many products on the supermarket shelves, green doesn't mean clean."

    She added, "The study highlights potential compositional differences in the formulations of regular and green cleaners, for which there is currently very little information in the available literature.

    "Manufacturers really need to be so much clearer about what's in these products and make clear how to mitigate their harm. For example, just improving ventilation and opening windows when using these cleaning products makes air quality at home so much better."

    More information: Ellen Harding-Smith et al, Does green mean clean? Volatile organic emissions from regular versus green cleaning products, Environmental Science: Processes & Impacts (2024). DOI: 10.1039/D3EM00439B

    Provided by University of York




    Science Discoveries © www.scienceaq.com