• Home
  • Chemistry
  • Astronomy
  • Energy
  • Nature
  • Biology
  • Physics
  • Electronics
  • O2-Bridged Bicyclic Compounds: Central to Secondary Organic Aerosol Formation from VOCs
    O2-Bridged Bicyclic Compounds: Central to Secondary Organic Aerosol Formation from VOCs

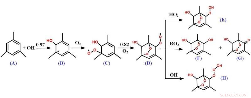
    Fig. 1 The major reaction routes of the OH initiated photo-oxidation of 1,3,5-TMB under NOx free conditions. Credit: Lin Xiaoxiao

    Volatile organic compounds (VOCs) are important precursors for secondary organic aerosol (SOA) formation. As a significant aromatic compound of VOC, 1,3,5-trimethylbenzene (1,3,5-TMB, C9H12) mainly comes from vehicle exhaust, solvent use and industrial emissions. The oxidation reaction of 1,3, 5-trimethylbenzene is mainly initiated by hydroxyl radical (OH) in atmosphere.

    Prof. Zhang Weijun and his team at the Hefei Institutes of Physical Science of the Chinese Academy of Sciences (CAS) have recently proved that O2-bridged bicyclic peroxy radicals are very important reaction intermediates in the oxidation process of 1,3, 5-TMB.

    They found that the reactions could produce high mass bicyclic products with a low volatility, and play an essential role in the formation of SOA.

    Chemical composition of SOA was detected from the oxidation reaction of 1,3, 5-TMB using a home-made vacuum ultraviolet photoionization aerosol mass spectrometer. With the help of deuteration experiments, they clearly observed the presence of high-mass O2-bridged bicyclic products in the particle phase.

    Combined with theoretical study, the formation mechanism of the O2-bridged bicyclic compounds have been illuminated.

    These results gave direct evidences of the essential role of peroxy radical chemistry in the SOA formation.

    O2-Bridged Bicyclic Compounds: Central to Secondary Organic Aerosol Formation from VOCs

    Fig. 2 The major reaction routes of the OH initiated photo-oxidation of 1,3,5-TMB under NOx free conditions. Credit: Lin Xiaoxiao

    Science Discoveries © www.scienceaq.com