• Home
  • Chemistry
  • Astronomy
  • Energy
  • Nature
  • Biology
  • Physics
  • Electronics
  • Innovative Hydrogel Electrolyte Extends Zinc-Ion Battery Stability to Extreme Temperatures
    Innovative Hydrogel Electrolyte Extends Zinc-Ion Battery Stability to Extreme Temperatures

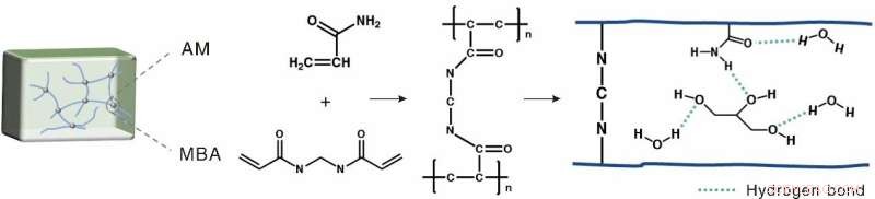
    The 3D framework by the copolymerization of AM and MBA. Credit: Kong Fantai

    Researchers led by Prof. Hu Linhua from the Hefei Institutes of Physical Science of the Chinese Academy of Sciences and Prof. Ji Denghui from Shijiazhuang University have recently developed a hydrogel electrolyte that endows batteries with better stability in wider temperature range (-20 degrees Celsius to 60 degrees Celsius), more flexible device application, and larger capacity.

    The related research was published in Chemical Engineering Journal.

    Aqueous zinc-ion batteries are considered as potential alternatives for conventional lithium-ion batteries due to their abundant resources and improved safety. The hydrogel electrolyte used in zinc-ion batteries helps improve their safety against fire and leakage compared with conventional lithium-ion batteries. But there are still some problems such as poor stability and performance under extreme conditions.

    The temperature window is a key problem of electrolytes in batteries. To address this problem, the joint team developed a hydrogel electrolyte by in situ copolymerization of acrylamide (AM) and N,N '-methylene bisacrylamide (MBA) in the mixture of water, glycerin, acetonitrile, and zinc sulfate. The copolymer of acrylamide and N,N '-methylene diacrylamide is the 3D framework of hydrogel electrolyte, and zinc salt is the zinc source.

    The copolymer increased the proportion of intermolecular hydrogen bond between copolymer and water molecule, but decreased the proportion of intramolecular hydrogen bond between water molecule. The bonding interaction regulation can reduce the chance of freezing at low temperature and evaporation at high temperature, which is beneficial to expand the operating temperature range.

    Innovative Hydrogel Electrolyte Extends Zinc-Ion Battery Stability to Extreme Temperatures

    The stability of hydrogel electrolyte and battery device. Credit: Kong Fantai

    Another advantage of this hydrogel electrolyte is its good mechanical properties for flexible device applications. In this study, the scientists found that the voltage of the zinc-ion battery device remained constant after it was bent at different angles.

    In addition, the electrochemical performance of the hydrogel electrolyte at 5 A·g-1 is 185 mAh·g-1. In Zn//Zn battery, the capacity retention rate of 10,000 cycles is 88 percent, and the cycle stability of 3,000 cycles is improved.

    This strategy provides a new idea for the design of functional electrolyte of aqueous zinc-ion batteries.

    Science Discoveries © www.scienceaq.com