• Home
  • Chemistry
  • Astronomy
  • Energy
  • Nature
  • Biology
  • Physics
  • Electronics
  • New Thermoelectric Material Achieves Unprecedented Efficiency, Stability, and Sustainability
    New Thermoelectric Material Achieves Unprecedented Efficiency, Stability, and Sustainability

    Left: The crystal structure of the barium cobalt oxide film. Credit: Xi Zhang, Yuqiao Zhang, et al. ACS Applied Materials & Interfaces, July 12, 2022. Right: The metal oxide film itself . Credit: Hiromichi Ohta

    Waste heat is a promising source of energy conservation and reuse, by means of converting this heat into electricity—a process called thermoelectric conversion. Commercially available thermoelectric conversion devices are synthesized using rare metals. While these are quite efficient, they are expensive, and in the majority of cases, utilize toxic materials. Both these factors have led to these converters being of limited use. One of the alternatives is oxide-based thermoelectric materials, but the primary drawback these suffer from is a lack of evidence of their stability at high temperatures.

    A team led by Professor Hiromichi Ohta at the Research Institute for Electronic Science at Hokkaido University has synthesized a barium cobalt oxide thermoelectric converter that is reproducibly stable and efficient at temperatures as high as 600°C. The team's findings have been published in the journal ACS Applied Materials & Interfaces.

    Thermoelectric conversion is driven by the Seebeck effect: When there is a temperature difference across a conducting material, an electric current is generated. However, efficiency of thermoelectric conversion is dependent on a figure called the thermoelectric figure of merit ZT. Historically, oxide-based converters had a low ZT, but recent research has revealed many candidates that have high ZT, but their stability at high temperatures was not well documented.

    Hiromichi Ohta's group has been working on layered cobalt oxide films for over two decades. In this study, the team sought to examine the thermal and chemical stability of these films, as well as measure their ZT values, at high temperatures. They tested cobalt oxide films layered with sodium, calcium, strontium or barium, analyzing their structure, resistivity, and thermal conductivity.

    New Thermoelectric Material Achieves Unprecedented Efficiency, Stability, and Sustainability

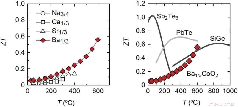
    (Left) ZT of all four cobalt oxide films increases with increasing temperature. The barium cobalt oxide film (red diamonds) has the highest ZT among the four, reaching a high ZT value of ~0.55 at 600 °C. (Right) The ZT of the barium cobalt oxide film at 600 °C is comparable to that of commercially available thermoelectric converters (lead-tellurium, PbTe, and silicon germanium, SiGe. Credit: Xi Zhang, Yuqiao Zhang, et al. ACS Applied Materials & Interfaces. July 12, 2022

    They found that of the four variants, the barium cobalt oxide layered film retained its stability in terms of structural integrity and electrical resistivity at temperatures as high as 600°C. In comparison, the sodium and calcium cobalt oxide films were only stable until 350°C, and the strontium cobalt oxide film was stable up to 450°C. The ZT of the barium cobalt oxide film increased with the temperature, reaching ~0.55 at 600°C, comparable to some commercially available thermoelectric converters.

    "Our study has shown that barium cobalt oxide films would be excellent candidates for high-temperature thermoelectric conversion devices," said Hiromichi Ohta. "In addition, they are environment friendly, giving potential for wide deployment." + Explore further

    Researchers develop layered cobalt oxide with a record-setting thermoelectric figure of merit




    Science Discoveries © www.scienceaq.com