• Home
  • Chemistry
  • Astronomy
  • Energy
  • Nature
  • Biology
  • Physics
  • Electronics
  • Methyl Jasmonate Improves Loquat Fruit Quality: Sugar Metabolism & Gene Expression
    Methyl Jasmonate Improves Loquat Fruit Quality: Sugar Metabolism & Gene Expression
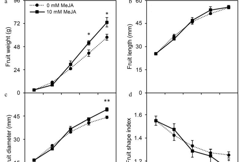
    Fig 1. Influence of foliar applied methyl jasmonate on fruit weight and size of loquat at different developmental stages. Credit: Fruit Research (2024). DOI: 10.48130/frures-0024-0009

    A research team investigated the dynamics of soluble sugars in "Zaozhong 6" loquat fruits following treatment with methyl jasmonate (MeJA). Their findings revealed that MeJA accelerates sugar accumulation and increases the sugar-acid ratio in fully ripe loquats, significantly enhancing fruit quality. This study also delved into the molecular mechanisms regulating sugar metabolism, noting significant changes in the expression of key genes such as FK, HK, SPP, SPS, and SS.

    These insights offer potential applications in optimizing fruit maturation and quality and provide a deeper understanding of the regulatory processes affecting fruit development, paving the way for future agricultural practices to improve fruit quality through targeted biochemical treatments.

    The loquat (Eriobotrya japonica Lindl.) is a perennial fruit tree that originates from China and is a member of the Rosaceae family. It is rich in nutrients like vitamins A and B6 and is famed for its short shelf life due to its delicate flesh.

    Despite its nutritional value, the cultivation of loquat faces challenges, including reduced sugar levels and high fruit acidity, which negatively affect its market value. Research has shown that MeJA can influence fruit ripening and quality by impacting sugar metabolism and enhancing fruit characteristics such as sweetness and longevity.

    A study published in Fruit Research on 24 April 2024, explores potential improvements in fruit quality.

    In this study, researchers explored the impact of different concentrations of MeJA on sugar metabolism in loquat fruit by foliar spraying loquat plants with 0, 5, 10, and 15 mM MeJA and recording changes in fruit weight, size, and sugar profiles. RT-qPCR techniques were employed to analyze the expressions of sugar metabolism-related genes.

    Methyl Jasmonate Improves Loquat Fruit Quality: Sugar Metabolism & Gene Expression
    Influence of foliar applied methyl jasmonate on fruit weight and size of loquat at different developmental stages. Treatment means were compared using Student's t-test, where *, **, and *** denote significance level (α) of 0.05, 0.01, and 0.001, respectively. Ft—fruitlet, IMG—immature green, MG—mature green, Br—breaking, FR—full ripe. Credit: Fruit Research (2024). DOI: 10.48130/frures-0024-0009

    Notably, 10 mM MeJA treatment significantly increased fruit weight by 26.94% and diameter by 11.40% at the fully ripe stage, while the sugar-acid ratio soared to 110.78, which was 2.4-fold higher than that of control. MeJA treatment also enhanced the soluble sugar content by up to 22.50%. Fruit fructose, identified as the predominant soluble sugar, showed a 38.96% increase in the 10 mM MeJA-treated fruit compared with control at full ripe stage.

    On the soluble sugars metabolism gene expression level, fructokinase genes (EjFK1, EjFK2) were upregulated at early stages, while downregulation of EjFK4, EjFK6, and EjFK7 occurred at the mature green stage under the 10 mM MeJA treatment. Similarly, hexokinase gene expressions (EjHK1, EjHK2, EjHK3) varied significantly across different stages of fruit development, indicating a complex regulatory pattern influenced by MeJA.

    According to the study's senior researcher, Faxing Chen, "This research provides valuable insights into the temporal changes in sugar composition during loquat fruit development, underscores the role of MeJA in shaping these dynamics, and highlights the significance of the sugar-acid ratio in fruit quality determination."

    The study highlights the potential of MeJA to optimize fruit sugar composition and improve overall fruit quality through targeted biochemical enhancements and precise gene regulation, emphasizing the need for accurate MeJA application strategies in loquat cultivation.

    More information: Songfeng Ma et al, Unveiling the influence of methyl jasmonate on key sugar metabolism genes in developing loquat fruit, Fruit Research (2024). DOI: 10.48130/frures-0024-0009

    Provided by Chinese Academy of Sciences




    Science Discoveries © www.scienceaq.com