• Home
  • Chemistry
  • Astronomy
  • Energy
  • Nature
  • Biology
  • Physics
  • Electronics
  • Groundwater Atrazine Exposure: Potential Underestimation & Seasonal Trends
    Groundwater Atrazine Exposure: Potential Underestimation & Seasonal Trends

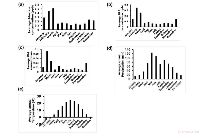
    Seasonal variation in groundwater atrazine and its metabolites (a) Average atrazine concentration by month. (b) Average D.E.A. concentration by month. (c) Average D.I.A. concentration by month (d). Average annual precipitation by month. (e) Mean daily temperature by month. Credit: DOI: 10.3390/ijerph182413241

    Atrazine ranks as a common herbicide in the United States—where it's popular to elevate corn and sorghum yields by curbing weed growth.

    Conversely, the European Union has banned atrazine, which some research suggests can disrupt hormone production in wildlife and potentially humans. A 2021 study from the University of Nebraska Medical Center indicated that Nebraska counties applying the most atrazine also exhibited higher incidences of estrogen-related cancers, including breast and prostate cancer.

    Human exposure to herbicides often comes via drinking water, much of which is drawn from groundwater—with many studies consequently using groundwater concentrations as a proxy for local exposure risks. Given that, the UNMC researchers expected to find elevated concentrations of atrazine in the groundwater of high-usage counties. They didn't.

    Seeking answers to the seeming paradox, the UNMC team recently partnered with the University of Nebraska–Lincoln's Olufemi Abimbola and Shannon Bartelt-Hunt. Together, the researchers analyzed data from 33 eastern Nebraska counties that used the most atrazine between 1995 and 2014. As expected, the study showed that groundwater concentrations of atrazine were generally higher in shallower wells than deeper ones.

    The team also analyzed two clusters of wells featuring similar depths but high vs. low levels of atrazine. Lower-concentration wells not only served roughly three times as many people but were also generally used to draw water rather than just monitor its quality, suggesting that excessive extraction of groundwater may lower its atrazine concentrations. Those wells were likewise located in areas of so-called discharge, where groundwater naturally flows to the surface.

    The findings indicate that groundwater concentrations of atrazine may underestimate the likelihood that people are exposed to it, said the researchers, who recommended measuring atrazine in already-extracted groundwater when studying its potential health implications.

    Science Discoveries © www.scienceaq.com