• Home
  • Chemistry
  • Astronomy
  • Energy
  • Nature
  • Biology
  • Physics
  • Electronics
  • Scientists Unveil Detailed Insights into Beta Lyrae A’s Opaque Accretion Disk
    Scientists Unveil Detailed Insights into Beta Lyrae A’s Opaque Accretion Disk

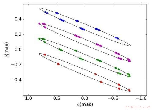
    Phase coverage of spectro-interferometric observations of β Lyr acquired by different instruments. δ denotes the relative declination (positive toward the north), and α the relative right ascension (positive toward the east). The black line shows the size and orientation of the β Lyr orbit in the sky, the blue dots show orbital phases corresponding to NPOI observations, the magenta dots to CHARA/VEGA observations, the green dots to CHARA/MIRC observations acquired in 2013, and the red dots to CHARA/MIRC observations acquired in 2006/2007. An arbitrary vertical shift of 0.2 mas is added to separate the various orbits. Credit: Mourard et al., 2018.

    An international team of astronomers has conducted a study of the opaque accretion disk of the multiple star system known as Beta Lyrae A (β Lyr A for short). The research reveals important insights into nature of this disk and also discloses some parameters of the system. The study was presented in a paper published July 12 on arXiv.org.

    Located some 1,000 light years away from the Earth, Beta Lyrae is a multiple star system consisting of at least one star in close orbit to another star or two or more stars orbiting a central point. One of its components, Beta Lyrae A, is a bright binary of spectral type B. It has an effective temperature of 13,300 K and a steadily increasing orbital period of 12.94 days. The binary is currently in a phase of rapid mass exchange with the mass-losing component (donor) being the less massive (about 2.9 solar masses) than its companion (about 13.3 solar masses).

    Given that the donor has transferred most of its mass over to its companion, the secondary star is now more massive and exhibits an accretion disk created from this mass transfer. However, the disk blocks the view of the companion, making it difficult for observers to unveil the detailed properties of this star.

    Studying Beta Lyrae A, including its disk, could therefore be essential for astronomers to better understand mass exchange in close binaries. Thus, a group of astronomers led by Denis Mourard of the University of Côte d'Azur in France, has performed an analysis of the available data obtained during visible and infrared spectro-interferometric observations of Beta Lyrae A.

    "A series of continuum visible and NIR spectro-interferometric observations by the NPOI, CHARA/MIRC and VEGA instruments covering the whole orbit of β Lyr A acquired during a two-week campaign in 2013 were complemented with UBVR photometric observations acquired during a three-year monitoring of the system. We included NUV and FUV observations from OAO A-2, IUE, and Voyager satellites," the researchers wrote in the paper.

    Based on the observational data, Mourard's team tested various models of the disk. They found that the opaque parts of the accretion disk have the outer radius of about 30 solar radii, the semithickness of approximately 6.5 solar radii (for "slab" and "wedge" shape models), or equivalently the scale-height multiplication factor of 4.3 (for "nebula" model). Moreover, the researchers estimate that the minimum mass of the disk should be between 0.0001 and 0.001 solar masses.

    When it comes to the parameters of the Beta Lyrae A system, they found that its orbital inclination is 93.5 degrees. They also measured the probable distance to the binary – about 1,042 light years.

    In concluding remarks, the researchers revealed that they plan to publish further analyses of the Beta Lyrae A binary, focused mainly on the optically thin circumstellar medium in the system. "Using a series of spectroscopic and spectro-interferometric observations of strong emission lines we intend to resolve and describe the structure and kinematics of the optically thin medium within this remarkable system. Consequently, it should be possible to better determine the radial profiles of the disk atmosphere," the authors of the paper noted.

    © 2018 Phys.org




    Science Discoveries © www.scienceaq.com