• Home
  • Chemistry
  • Astronomy
  • Energy
  • Nature
  • Biology
  • Physics
  • Electronics
  • Gaia DR2 Confirms Caffau’s Star Is a Dwarf: A Landmark in Metal‑Poor Stellar Research
    Gaia DR2 Confirms Caffau’s Star Is a Dwarf: A Landmark in Metal‑Poor Stellar Research

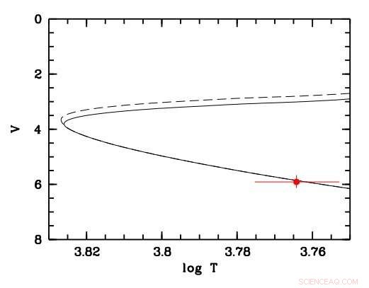
    The absolute magnitude of SDSS J102915+172927 derived from the Gaia parallax and the Gaia photometry implies it is a dwarf star. Credit: Bonifacio et al., 2018.

    Caffau's star, the most metal-poor object known to date and one of the oldest stars in the Milky Way galaxy, turns out to be a dwarf star, according to an analysis of new measurements provided by Gaia Data Release 2 (DR2). The finding was detailed April 27 in a paper published on the arXiv pre-print server.

    Caffau's star, also known as SDSS J102915+172927, is a faint 13-billion-year-old star in the constellation of Leo. In 2011, a team of researchers led by Elisabetta Caffau of Paris Observatory, France, found that this star is composed almost entirely of hydrogen and helium, with extreme under-abundance of heavier elements. This chemical composition surprised astronomers, as with its low mass (about 0.8 solar masses) and extremely low quantities of metals (more than 20,000 times smaller than that of the sun), this star should not exist at all.

    Although Caffau's star was a subject of several studies, many of its properties remained uncertain, like its exact stellar classification and distance to it. One scenario proposed by astronomers suggests that the star is a dwarf, with an estimated a distance of 4,400 light years away from the Earth, while the other one proposes that the object is a subgiant star some 20,200 light years away.

    Now, a new catalog of data from ESA's Gaia satellite has delivered important information that helped astronomers to find which of the two proposed hypotheses is true. The DR2 dataset, released on April 25, provides high-precision measurements, including positions in the sky, parallaxes and proper motions for more than 1 billion sources in our galaxy. DR2 data allowed a group of researchers led by Piercarlo Bonifacio of Paris Observatory and including Elisabetta Caffau, to confirm the true nature of SDSS J102915+172927.

    The authors write, "The Gaia mission with its second data release has provided us a very accurate parallax of 0.734 ± 0.073 mas. Thus, the distance is 1.37+0.15 −0.12 kpc, in perfect agreement with that estimated by Caffau et al. Gaia also provides photometry for this star G = 16.548 and a color BP−RP = 0.799. (…) We used the above information to compute the absolute V magnitude using the transformations provided by the Gaia DR2 documentation. This allows us to compare it to the metal-poor 3 isochrones computed by A. Chieffi (private communication) and shown in the figure."

    According to the paper, data provided by DR2 exclude the possibility that SDSS J102915+172927 is a subgiant, which confirms that it is a dwarf star. Moreover, it also excludes the assumption that this star was formed from a medium dominantly enriched by a supernova of type Ia.

    The study published by Bonifacio's team could be helpful in improving our understanding of such metal-poor, primitive and old objects like Caffau's star, providing important insight into the process of star formation. It also underlines the role of dust cooling and fragmentation necessary in order to form a star like SDSS J102915+172927.

    © 2018 Phys.org




    Science Discoveries © www.scienceaq.com