• Home
  • Chemistry
  • Astronomy
  • Energy
  • Nature
  • Biology
  • Physics
  • Electronics
  • Astronomers Discover Two Sub‑Jovian Exoplanets Orbiting Bright Stars
    Astronomers Discover Two Sub‑Jovian Exoplanets Orbiting Bright Stars

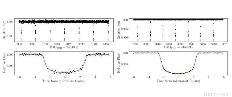
    Left: Calibrated K2 photometry for HD 89345 (top), with vertical ticks indicating the locations of the transits, and phase-folded photometry and best-fit light curve model (bottom). Right: Same, but for HD 286123. Credit: Yu et al., 2018.

    Using NASA's prolonged Kepler mission, known as K2, astronomers have identified two new gas giant exoplanets. The newly found alien worlds, designated HD 89345 b and HD 286123 b, are warm, low-density sub-Jovian planets circling bright stars. The finding is detailed in a paper published March 9 on arXiv.org.

    HD 89345 and HD 286123 stars were observed by K2 during the spacecraft's Campaign 13 and 14 between March and August 2017. K2 is a repurposed mission of the Kepler spacecraft to perform high-precision photometry of selected fields in the ecliptic, following the failure of two reaction wheels in 2013. Since then, the revived Kepler spacecraft has detected over 300 extrasolar worlds.

    K2 allowed a team of astronomers led by Liang Yu of the Massachusetts Institute of Technology (MIT) to detect transit signals in the light curves of HD 89345 and HD 286123. Planetary nature of these signals was later confirmed by photometric and spectroscopic observations utilizing various ground-based telescopes.

    "We report the discovery of two planets transiting the bright stars HD 89345 (EPIC 248777106, V = 9.376, K = 7.721) in K2 Campaign 14 and HD 286123 (EPIC 247098361, V = 9.822, K = 8.434) in K2 Campaign 13," the researchers wrote in the paper.

    With a mass of only 0.1 Jupiter masses and a radius of about 0.61 Jupiter radii, HD 89345 b was classified as a sub-Saturn planet. Its host is a 5.3-billion-year-old star of spectral type of G5V-G6V, 66 percent larger and 22 percent more massive than the sun, located some 413 light years away. The star has an effective temperature of 5,609 K and given that HD 89345 b circles it every 11.8 days at a distance of approximately 0.11 AU, the planet is described by the researchers as a warm sub-Saturn with an equilibrium temperature of 1,059 K.

    HD 286123 b is about the size of Jupiter (1.08 Jupiter radii), however almost 60 percent less massive than our solar system's biggest planet. It orbits its parent star every 11.2 days at a distance of about 0.1 AU from the host. Located about 434 light years away from the Earth, HD 286123 is a 6.5-billion-year-old star of spectral type F9V-G0V with a radius of 1.25 solar radii and approximately eight percent more massive than the sun. The star has an effective temperature of 5.855 K, what corresponds to the planet's equilibrium temperature of 999 K. Therefore, HD 286123 b was classified as a warm, low-mass Jupiter-sized planet.

    Given that the newly found exoplanets orbit relatively evolved main-sequence stars with ages between five and seven billion years, and have orbital periods longer than 10 days, the researchers concluded that these planets could be promising candidates for studies of gas planet evolution, migration, and also the process of re-inflation.

    "Both planets have spent their entire lifetimes near the proposed stellar irradiation threshold at which giant planets become inflated, and neither shows any sign of radius inflation. They probe the regime where inflation begins to become noticeable and are valuable in constraining planet inflation models. In addition, the brightness of the host stars, combined with large atmospheric scale heights of the planets, makes these two systems exceptionally favorable targets for transit spectroscopy to study their atmospheres and perhaps provide insight into the physical mechanisms that that lead to inflated hot Jupiters," the scientists concluded.

    © 2018 Phys.org




    Science Discoveries © www.scienceaq.com