• Home
  • Chemistry
  • Astronomy
  • Energy
  • Nature
  • Biology
  • Physics
  • Electronics
  • New Infrared Photometry Sheds Light on the Dwarf Nova V2051 Ophiuchi
    New Infrared Photometry Sheds Light on the Dwarf Nova V2051 Ophiuchi

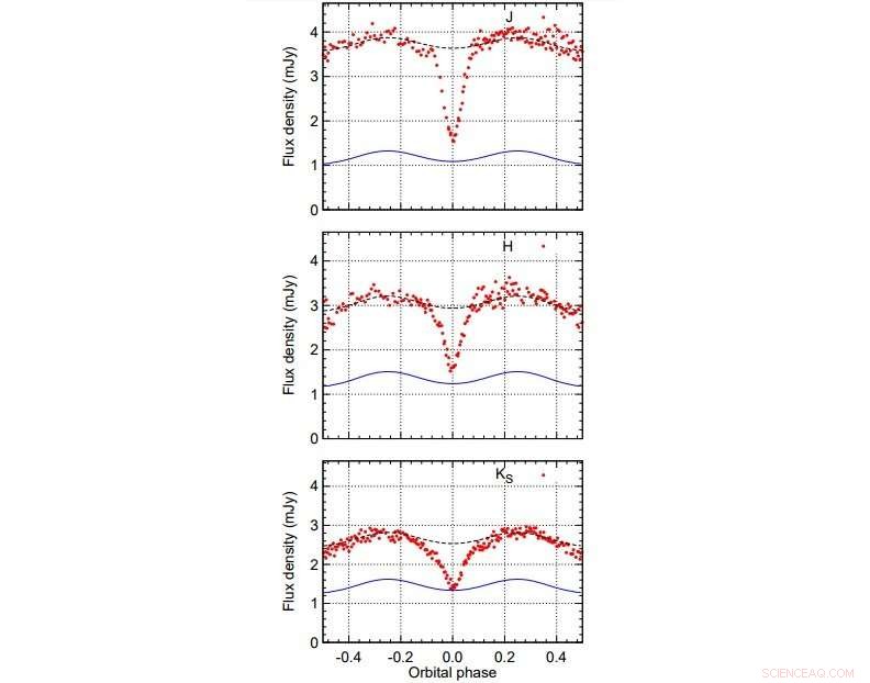
    Phase-folded orbital J H KS light curves of V2051 Oph (dots), the modelled mass-donor star contribution (solid curve) and the ellipsoidal curve plus the constant disc flux f1 (dashed curve). Credit: Wojcikiewicz et al., 2018.

    Brazilian astronomers have performed photometric observations of the dwarf nova V2051 Oph during its quiescent period, which revealed important insights into the nature of this object. The results were presented in a paper published January 4 on the arXiv pre-print repository.

    Discovered in 1972, V2051 Ophiuchi (or V2051 Oph for short) is an ultra-short-period eclipsing dwarf nova with an orbital period of 90 minutes, located some 300 light years away. It is an interacting binary in which an evolved, late-type star transfers matter to a companion white dwarf via an accretion disc.

    In the V2051 Ophiuchi system, the white dwarf has a radius of 1 percent solar radii and is about 22 percent less massive than the sun. When it comes to the white dwarf's companion, it has a radius of approximately 0.16 solar radii and a mass of 0.15 solar masses.

    Although basic parameters of V2051 Ophiuchi have been determined, the researchers still hypothesize what causes recurrent outbursts in this dwarf nova. Generally, such events in novae are thought to be due to a sudden increase in mass transfer rate (the so-called Mass Transfer Instability Model, or MTIM), or due to a thermal-viscous disc instability (Disc Instability Model, or DIM).

    Now, a team of astronomers led by Eduardo Wojcikiewicz of the Federal University of Santa Catarina in Florianópolis, Brazil, presents new results from an analysis of data provided by the observations of V2051 Ophiuchi in June 2013. The nova was observed with the OSIRIS Infrared Imager and Spectrograph attached to the 4.1 m SOAR Telescope at Cerro Pachón in Chile. The photometry collected by this instrument allowed the team to obtain more details about V2051 Ophiuchi, which gave some hints on the mechanism behind outbursts in this nova.

    "We report the analysis of time-series of infrared JHKs photometry of the dwarf nova V2051 Oph in quiescence. (…) We modeled the ellipsoidal modulation caused by the distorted mass-donor star to infer its fluxes in the JHKs bands and used those fluxes to obtain its magnitudes and colors," the researchers wrote in the paper.

    The study reveals that the mass-donor star in V2051 Ophiuchi is a lower main-sequence star of spectral type M8, with an effective temperature of about 2,700 K. Notably, the scientists managed to estimate a photometric parallax distance to the nova. They reveal that V2051 Ophiuchi is located about 332 light years from the Earth.

    The estimated distance could be helpful in confirming which mechanism is the driving force behind the outbursts in V2051 Ophiuchi. According to the researchers, the distance favors the MTIM model, which means that outbursts in this nova are most likely caused by a sudden increase in mass transfer rate.

    "At this short distance, the outbursts of V2051 Oph occur at disc temperatures everywhere below the minimum outburst temperature required by the thermal-viscous disc instability model and is, therefore, incompatible with this dwarf nova outburst model. This underscores the previous suggestion that the outbursts of this dwarf nova are powered by bursts of mass transfer from its donor star," the scientists concluded.

    © 2018 Phys.org




    Science Discoveries © www.scienceaq.com