• Home
  • Chemistry
  • Astronomy
  • Energy
  • Nature
  • Biology
  • Physics
  • Electronics
  • Revealed: Magnetic Fields in Two Evolved Hot Stars
    Revealed: Magnetic Fields in Two Evolved Hot Stars

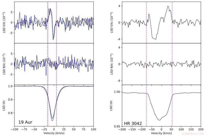
    The LSD Stokes I, N and Stokes V profiles of 19 Aur and HR 3042. Credit: Martin et al., 2017.

    Astronomers have presented the initial results of the Large Impact of Magnetic Fields on the Evolution of Hot Stars (LIFE) project. Among determining fundamental parameters of 15 stars, they found that two of them have magnetic fields. The finding is detailed in a paper published December 20 on arXiv.org.

    LIFE's main goal is to search for magnetic fields in hot post-main sequence stars. The project also aims to evaluate the model of magnetic flux conservation and to investigate the impact of magnetic fields on stellar evolution, and vice versa. In order to achieve its scientific goals, LIFE utilizes the Echelle SpectroPolarimetric Device for the Observation of Stars (ESPaDOnS) at the Canada France Hawaii Telescope (CFHT) in Hawaii.

    Now, an international group of astronomers led by Alexander Martin of the Paris Observatory in France, has published the first results of the LIFE project, which include the detection of magnetic fields in two stars. During the observations, the team was particularly interested in studying evolved O-, B- and A-type giants and supergiants with visual magnitudes between 4.0 and 8.0. They wanted to investigate how the magnetic fields observed in upper main sequence stars evolve from the main sequence until the late post-main sequence stages.

    They found that two stars, designated HR 3042 and 19 Aur, have magnetic fields with a measured longitudinal field strength of about –230 and 1.0 G respectively. "In this paper, we present spectropolarimetric observations of 15 stars observed using the ESPaDOnS instrument of the CFHT. (…) We report the detection of magnetic fields in two stars of our sample: a weak field of Bl = 1.0 ± 0.2 G is detected in the post-MS A5 star 19 Aur and a stronger field of Bl = −230 ± 10 G is detected in the MS/post-MS B8/9 star HR 3042," the researchers wrote in the paper.

    HR 3042 is most likely a helium-weak, chemically peculiar post-main sequence star or at the end of the main sequence. With an estimated age of approximately 100 million years, it is about five times larger and more massive than our sun. The star is of spectral type B8/9II and has an effective temperature of 14,150 K.

    Besides detecting a magnetic field in this star, the researchers also found that HR 3042 was likely a quite strongly magnetic star at the start of the main sequence, and is or was possibly an Ap/Bp star – a chemically peculiar star of types A and B with a strong magnetic field, showing overabundances of some metals, such as strontium, chromium and europium.

    19 Aur is larger and more massive than HR 3042, as it has a radius of at least 37 solar radii and a mass of approximately eight solar masses. 19 Aur is a post-main sequence star of spectral type A5Ib-II and an estimated age between 24 and 57 million years. The star's effective temperature is 8,500 K.

    Moreover, Martin's team found that another star of the sample of 15 studied stars could also have a magnetic field. The star, named HIP 38584, was classified as a magnetic candidate. The observations indicate that this star is asymmetric, which could suggest a binary companion or the presence of surface spots. According to the paper, HIP 38584 shows evidence of a coherent structure in half of the line profile, which could suggest that one of the two stars is magnetic. However, further observations are required to confirm this assumption.

    The researchers hope that future observations as part of the LIFE project will allow them to detect more magnetic evolved stars like HR 3042 and 19 Aur.

    "The continuation of the LIFE project is predicted to yield at least six further magnetic post-MS stars, if the prevalence of magnetic fields in these stars is consistent with their MS counterparts," the astronomers concluded.

    © 2018 Phys.org




    Science Discoveries © www.scienceaq.com