• Home
  • Chemistry
  • Astronomy
  • Energy
  • Nature
  • Biology
  • Physics
  • Electronics
  • Astronomers Unveil the Lightest Warm Jupiter Exoplanet Yet Detected
    Astronomers Unveil the Lightest Warm Jupiter Exoplanet Yet Detected

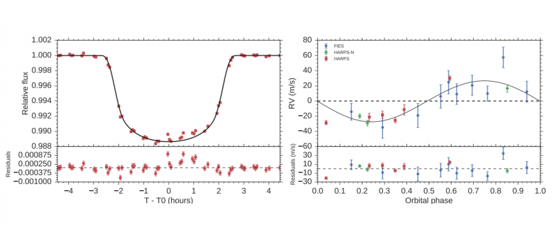
    Left panel: Transit light curve folded to the orbital period of EPIC 218916923b and residuals. The red points mark the binned K2 data and their error bars. The solid line mark the re-binned best-fitting transit model. Right panel: Phase-folded FIES (blue circles), HARPS-N (green diamonds) and HARPS (red triangles) RV measurements of EPIC 218916923b and best fitting orbit (solid line), following the subtraction of the systemic velocities as measured from each instrument. The error bars have not been corrected by the stellar jitter. Credit: Barragán et al., 2017.

    (Phys.org)—A European team of astronomers led by Oscar Barragán of the University of Turin in Italy reports the discovery of a low-mass warm Jupiter extrasolar planet orbiting a nearby K-type main-sequence star. The newly found alien world, designated EPIC 218916923b, is the least massive warm Jupiter known to date. The findings were presented Feb. 2 in a paper published on arXiv.org.

    The new planet was first detected by NASA's Kepler spacecraft during its prolonged mission known as K2. The K2 Campaign 7, which was conducted between Oct. 4 and Dec. 26, 2015, obtained a transit signal associated with the star EPIC 218916923. It is an active K0 V star located some 500 light years away.

    "We herein present the discovery of EPIC 218916923b, a transiting warm Jupiter in a 29-day orbit around an active K0 V star that has been photometrically monitored by the K2 space mission during its Campaign 7," the researchers wrote in the paper.

    In order to confirm the planetary nature of the transit signal, the team conducted follow-up observations utilizing ground-based observatories. The scientists made use of the 2.56-m Nordic Optical Telescope (NOT), the 3.58-m Telescopio Nazionale Galileo (TNG) (both located at the Roque de los Muchachos Observatory in La Palma, Canary Islands, Spain), the 2.7-m telescope at McDonald Observatory (Texas, USA) and the ESO 3.6-m Telescope of La Silla Observatory (Chile).

    The astronomers managed to derive the main parameters of the system. According to the study, EPIC 218916923b has a radius of about 0.81 Jupiter radii, but has only 38 percent of Jupiter's mass. The researchers also estimated that the exoworld orbits its parent star approximately every 29 days and is about 12 percent less dense than the solar system's biggest planet.

    Moreover, the scientists assume that the planet has a core with a mass of about 48 Earth masses, containing some 40 percent of the total planetary mass. They also expect that the newly detected extrasolar world has a solid core surrounded by a gaseous envelope.

    Given the fact that EPIC 218916923b is a gas giant planet and taking into account its orbital period, this planet was classified as a warm Jupiter. The so-called "warm Jupiters" are gas giant planets with a minimal mass of 0.3 Jupiter masses and orbital periods ranging between 10 and 100 days. They mark the transition between "hot Jupiters" with orbital period between one and 10 days and Jupiter analogues with orbital period longer than 100 days.

    EPIC 218916923b is the newest addition to the list of 80 warm Jupiters known so far. According to the paper, this planet also joins the small group of well-characterized warm Jupiters whose mass and radius have been determined with a precision better than 25 percent.

    The team concluded that the discovery of EPIC 218916923b marks another important step toward better characterization of the population of warm Jupiters in terms of planetary mass, radius and orbital parameters. It could be also helpful in testing different planet formation mechanisms.

    © 2017 Phys.org




    Science Discoveries © www.scienceaq.com