• Home
  • Chemistry
  • Astronomy
  • Energy
  • Nature
  • Biology
  • Physics
  • Electronics
  • Scientists Discover Enigmatic Dimming of Nearby Young Star
    Scientists Discover Enigmatic Dimming of Nearby Young Star

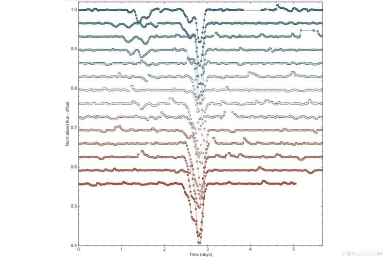
    Flattened and median filtered K2 light curve of RIK-210. The data are phase-wrapped on the dip period of 5.6685 days. A grouping of shallow dips preceding the main dip is prominent for the first four rotation periods of the campaign, then largely disappears. Variability fit B was used to make this figure. Credit: David et al., 2016.

    (Phys.org)—Astronomers have spotted transient, transit-like dimming events of a young star named RIK-210 located some 472 light years away in the Upper Scorpius OB association. However, what puzzles the scientists is the mystery behind this dimming as it can not be caused by an eclipsing stellar or brown dwarf companion. They describe their search for plausible explanations in a paper published Dec. 12 on the arXiv pre-print server.

    RIK-210 is around five to 10 million years old, about half as massive as the sun and has a radius of approximately 1.24 solar radii. The star has been recently observed by NASA's prolonged Kepler mission, known as K2, during its Campaign 2, lasting from Aug. 22 to Nov. 11, 2014. A team of researchers led by Trevor David of the California Institute of Technology (Caltech) has analyzed the data provided by K2.

    "We find transient, transit-like dimming events within the K2 time series photometry of the young star RIK-210 in the Upper Scorpius OB association. These dimming events are variable in depth, duration, and morphology," the scientists wrote in the paper.

    The team found that these dimming events occur approximately every 5.67 days, in phase with the stellar rotation, noting that they are deep (sometimes greater than 15 percent) and short in duration relative to the rotational period. Moreover, the morphology of the dimmings is variable throughout the whole observational campaign, while the starspot modulation pattern remains stable over this period of time.

    While such variable dimmings have been documented around mature stars and stellar remnants, it has not been previously observed around a young star lacking a protoplanetary disk, as in the case of RIK-210.

    In the search for possible explanations of the observed transient, transit-like dimming events, the researchers at first excluded the possibility that they can be caused by an eclipsing stellar or brown dwarf companion. This hypothesis was ruled out as it is inconsistent with radial velocity measurements as well as with archival and follow-up photometry data.

    The researchers emphasized that the dimmings cannot be due to a single spherical body because of the variable morphology of these events. They added that based on the observed depths and durations, it is also unlikely that the dimmings could be explained by features on the stellar surface.

    According to the team, the most plausible explanation of the nature of the obscuring material is that it could be a magnetospheric cloud. They assume that a cloud of plasma analogous to those observed in high-mass stars, or a dusty accretion column, could naturally explain the synchronicity between the rotation period and the dimming events.

    "Since the accretion timescale is ... much shorter than the orbital period, this model might explain the variable depths and morphologies of dimming events," the paper reads.

    Other explanations taken into account by the researchers are: an accretion flow from residual gas and dust, remnants of the late stages of planet formation, the product of a giant-impact type collision, an enshrouded protoplanet with an extended tail, or one or more eccentric bodies undergoing periodic tidal disruption upon each periastron passage.

    In order to finally confirm which of the proposed hypotheses is true, the team calls for continued photometric and spectroscopic monitoring.

    "Multi-band photometric monitoring can be used to test whether the dip depths are wavelength-dependent; solid-body transits are achromatic, while extinction by dust is less severe at redder wavelengths. Finally, spectroscopic monitoring while the star is known to be dimming can test whether there is enhanced absorption by a gaseous cloud transiting the star," the scientists concluded.

    © 2016 Phys.org




    Science Discoveries © www.scienceaq.com