• Home
  • Chemistry
  • Astronomy
  • Energy
  • Nature
  • Biology
  • Physics
  • Electronics
  • Millisecond Pulsar PSR J1744-2946 Discovered at Galactic Center

    Millisecond Pulsar PSR J1744-2946 Discovered at Galactic Center
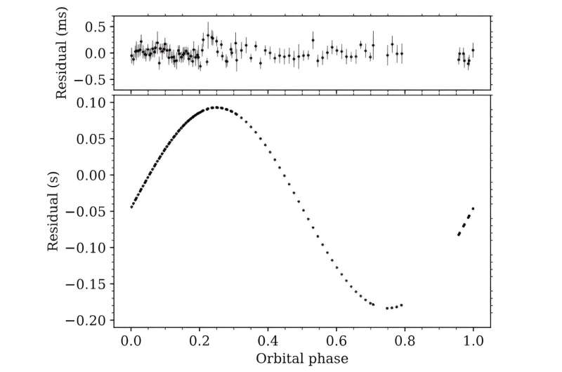
    Top panel shows the pulsar timing residuals of PSR J1744−2946 as a function of orbital phase. Bottom panel assumes a binary semi-major axis of zero to demonstrate the influence of the companion object. Credit: Lower et al., 2024.

    Astronomers from the Australia Telescope National Facility (ATNF) report the discovery of a new millisecond pulsar in the "Snake"—a radio filament in the galactic center. It is the first millisecond pulsar detected in the center of our galaxy. The finding was detailed in a paper published April 13 on the pre-print server arXiv.

    Pulsars are highly magnetized, rotating neutron stars emitting a beam of electromagnetic radiation. The most rapidly rotating pulsars, with rotation periods below 30 milliseconds, are known as millisecond pulsars (MSPs). Astronomers assume that they are formed in binary systems when the initially more massive component turns into a neutron star that is then spun up due to accretion of matter from the secondary star.

    Now, a team of astronomers led by ATNF's Marcus E. Lower has detected a new MSP using the Murriyang Ultra-Wideband Low (UWL) receiver system at the 64-m Parkes radio telescope in Australia. They investigated a recently discovered radio point source (designated G359.13142−0.2000) in G359.1−0.2, dubbed the Snake—one of the most prominent radio filaments in the center of the Milky Way.

    "We conducted a target of opportunity observation (project code PX130) of G359.13142−0.2000 using the Murriyang Ultra-Wideband Low (UWL) receiver system on March 25, 2024," the researchers wrote in the paper.

    In result, the team discovered a pulsar with a spin period of 8.39 milliseconds. The newly found MSP, which has a dispersion measure of approximately 673.7 pc/cm3, received designation PSR J1744−2946.

    According to the study, PSR J1744−2946 is located some 27,400 light years away and has a radio luminosity at a level of 30 mJy kpc2. The flux density of PSR J1744−2946 matches with that of G359.13142−0.2000 at 4 GHz, and the astronomers suppose that the newly discovered pulsar is likely powering this source.

    The observations found that PSR J1744−2946 is a binary system with an orbital period of approximately 4.8 hours. The companion object is estimated to have a mass of at least 0.05 solar masses.

    The researchers note that PSR J1744−2946 may be associated with the Snake. If confirmed, this would suggest that pulsars may be responsible for illuminating radio filaments in the galactic center.

    Summing up the results, the authors of the paper underline that the discovery of a millisecond pulsar so close to the galactic center gives hope that many MSPs are yet to be discovered there. However, high-frequency surveys are required in order to confirm this.

    "Future surveys of the entire galactic center region at 3 GHz and above are therefore warranted. Detection of a large population of MSPs would lend support to the idea that the Fermi GeV excess in this region arises from such a population," the scientists concluded.

    More information: Marcus E. Lower et al, The Snake's Beating Heart? A Millisecond Pulsar Binary in the Galactic Center Radio Filament G359.1−0.2, arXiv (2024). DOI: 10.48550/arxiv.2404.09098

    Journal information: arXiv

    © 2024 Science X Network




    Science Discoveries © www.scienceaq.com