• Home
  • Chemistry
  • Astronomy
  • Energy
  • Nature
  • Biology
  • Physics
  • Electronics
  • New Insights into the Ultra‑Luminous X‑ray Pulsar NGC 7793 P13 from Multi‑Observatory Timing and Spectral Analysis
    New Insights into the Ultra‑Luminous X‑ray Pulsar NGC 7793 P13 from Multi‑Observatory Timing and Spectral Analysis

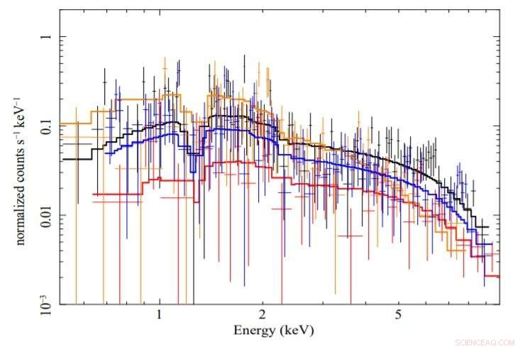
    NGC 7793 P13: an absorbed line at ∼1.3 keV obtained from the pulsed spectra of XMM-Newton/pn, NICER/XTI and NuSTAR/FPM. Credit: Lin et al., 2021.

    Using data from various spacecraft, astronomers have investigated an ultra-luminous X-ray pulsar known as NGC 7793 P13. The new study, published November 1 on the arXiv pre-print server, yields essential information regarding timing and spectral properties of this source.

    Ultra-luminous X-ray sources (ULXs) are point sources in the sky that are so bright in X-rays that each emits more radiation than 1 million suns emit at all wavelengths. Although they are less luminous than active galactic nuclei, they are more consistently luminous than any known stellar process.

    Astronomers generally believe that due to their brightness, most ULXs are black holes. However, recent observations have found that some ULXs showcase coherent pulsations. These sources, known as ultra-luminous X-ray pulsars (ULXPs), are neutron stars typically less massive than black holes. The list of known ULPs is still relatively short; thus, studying objects of this class is essential for researchers exploring the universe in X-rays.

    NGC 7793 P13 (also known as XMMU J235751.1–323725) is a ULX located in the spiral galaxy NGC 7793 in the Sculptor constellation, about 12.7 million light years from the Earth. Previous observations of this source found that it hosts a 0.42-second pulsar, which is a binary system hosting an accreting neutron star with a mass of approximately 1.4 solar masses and a massive companion star of less than 15 solar masses. It is very likely that the orbital period of the system is about 65 days, even though the optical modulation might also be related to a super-orbital period sometimes observed in ULXs.

    NGC 7793 P13 is important for astronomers, as it demonstrated for the first time that super-Eddington accretion takes place in at least one ULX with an accretor's mass below 15 solar masses. A team of researchers led by Lupin Chun-Che Lin of the Ulsan National Institute of Science and Technology in Korea, decided to take a closer look at this ULP, hoping to shed more light on the nature of its modulation and the way the pulsar properties are evolving as a function of time and flux.

    Lin's team investigated NGC 7793 P13 as it evolved from the luminous to the faint state with an order of magnitude in flux change. For this purpose, they used data from Swift, NuSTAR and XMM-Newton spacecraft, as well as from the NICER instrument onboard the International Space Station.

    The astronomers statistically compared the pulsed structure, and in result identified at least three obvious changes in the distribution of the profile. It was found that the onset of the changing pulsed structure seems to correlate with the flux evolution.

    The results suggest that there is no clear relation between the pulsed fraction change and the orbital phase. It was noted that the measured pulsed fraction of NGC 7793 P13 in 3–10 keV can be divided into two groups.

    The astronomers added that NGC 7793 P13 always stayed in the hard ultraluminous state during their observations. However, the pulsed emission appears to become relatively softer when the source goes into a faint stage at the end of 2019.

    Science Discoveries © www.scienceaq.com