• Home
  • Chemistry
  • Astronomy
  • Energy
  • Nature
  • Biology
  • Physics
  • Electronics
  • TESS Discovers TOI‑2109b: The Shortest‑Period Ultra‑Hot Gas Giant Yet
    TESS Discovers TOI‑2109b: The Shortest‑Period Ultra‑Hot Gas Giant Yet

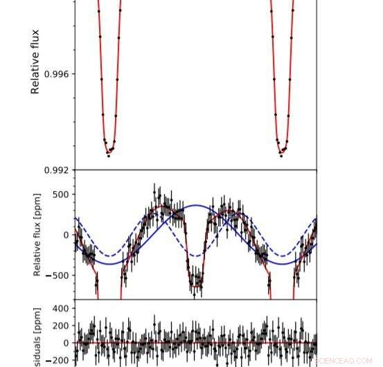
    The phase-folded TESS SPOC-SAP light curve of TOI-2109. Credit: Wong et al., 2021.

    Using NASA's Transiting Exoplanet Survey Satellite (TESS), an international group of astronomers has detected a new, ultra-hot gas giant exoplanet with an extremely short orbital period. The newfound alien world, designated TOI-2109b is about five times more massive than Jupiter and turns out to be the shortest-period gas giant known to date. The finding is reported in a paper published November 23 on arXiv.org.

    TESS is conducting a survey of about 200,000 of the brightest stars near the sun with the aim of searching for transiting exoplanets. So far, it has identified over 4,700 candidate exoplanets (TESS Objects of Interest, or TOI), of which 172 have been confirmed so far.

    A team of astronomers led by Ian Wong of the Massachusetts Institute of Technology (MIT) has recently confirmed another TOI monitored by TESS. They report that a transit signal has been identified in the light curve of a mid–late F-type star known as TOI-2109 (or TIC 392476080). The planetary nature of this signal was confirmed by follow-up observations.

    "In this paper, we describe a newly discovered transiting ultra hot Jupiter—TOI-2109b—which has the shortest orbital period of any known gas-giant exoplanet at the time of this writing," the authors of the study wrote.

    TOI-2109b has a radius of about 1.34 Jupiter radii, while its mass is estimated to be approximately 5.02 Jupiter masses. The planet orbits its host every 16 hours and eight minutes, at a distance of some 0.018 AU from it. This makes it the shortest-period gas-giant exoplanet so far detected. The equilibrium temperature of TOI-2109b was calculated to be approximately 3,646 K, what allowed the researchers to classify it as an ultra hot Jupiter.

    The parent star TOI-2109 is about 70 percent larger than the sun and its mass is estimated to be 1.45 solar masses. It has a luminosity of 4.71 solar luminosities, effective temperature of 6,530 K, and its metallicity is at a level of 0.068. The star is estimated to be 1.77 billion years old and is located some 854 light years away from the Earth.

    The astronomers write that the extremely short orbit of TOI-2109b and the intense planet-star gravitational interaction make the system an ideal target for searches for tidal orbital decay. Moreover, they added that the high levels of stellar irradiation and the brightness of the host, make TOI-2109b also an excellent candidate for intensive atmospheric characterization.

    "By virtue of its extreme irradiation and strong planet–star gravitational interaction, TOI-2109b is an exceptionally promising target for intensive follow-up studies using current and near-future telescope facilities to probe for orbital decay, detect tidally driven atmospheric escape, and assess the impacts of H2 dissociation and recombination on the global heat transport," the authors of the paper concluded.

    They noted that future phase-curve observations of TOI-2109b should be performed when TESS returns to observe this system in the extended mission.

    Science Discoveries © www.scienceaq.com